Скачать ГОСТ 17666-72 Выталкиватели блоков сменных разделительных штампов листовой штамповки. Конструкция и размерыДата актуализации: 01.01.2021
|
| Обозначение: | ГОСТ 17666-72 |
| Обозначение англ: | GOST 17666-72 |
| Статус: | действует |
| Название рус.: | Выталкиватели блоков сменных разделительных штампов листовой штамповки. Конструкция и размеры |
| Название англ.: | Ejector pins of units for changeable sheet stamping cutting dies. Construction and dimensions |
| Дата добавления в базу: | 01.09.2013 |
| Дата актуализации: | 01.01.2021 |
| Дата введения: | 01.07.1973 |
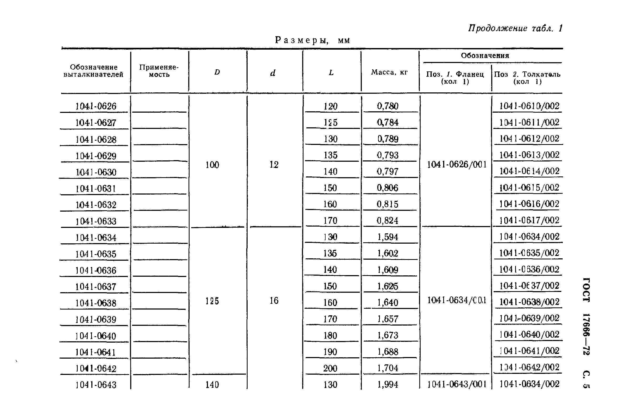
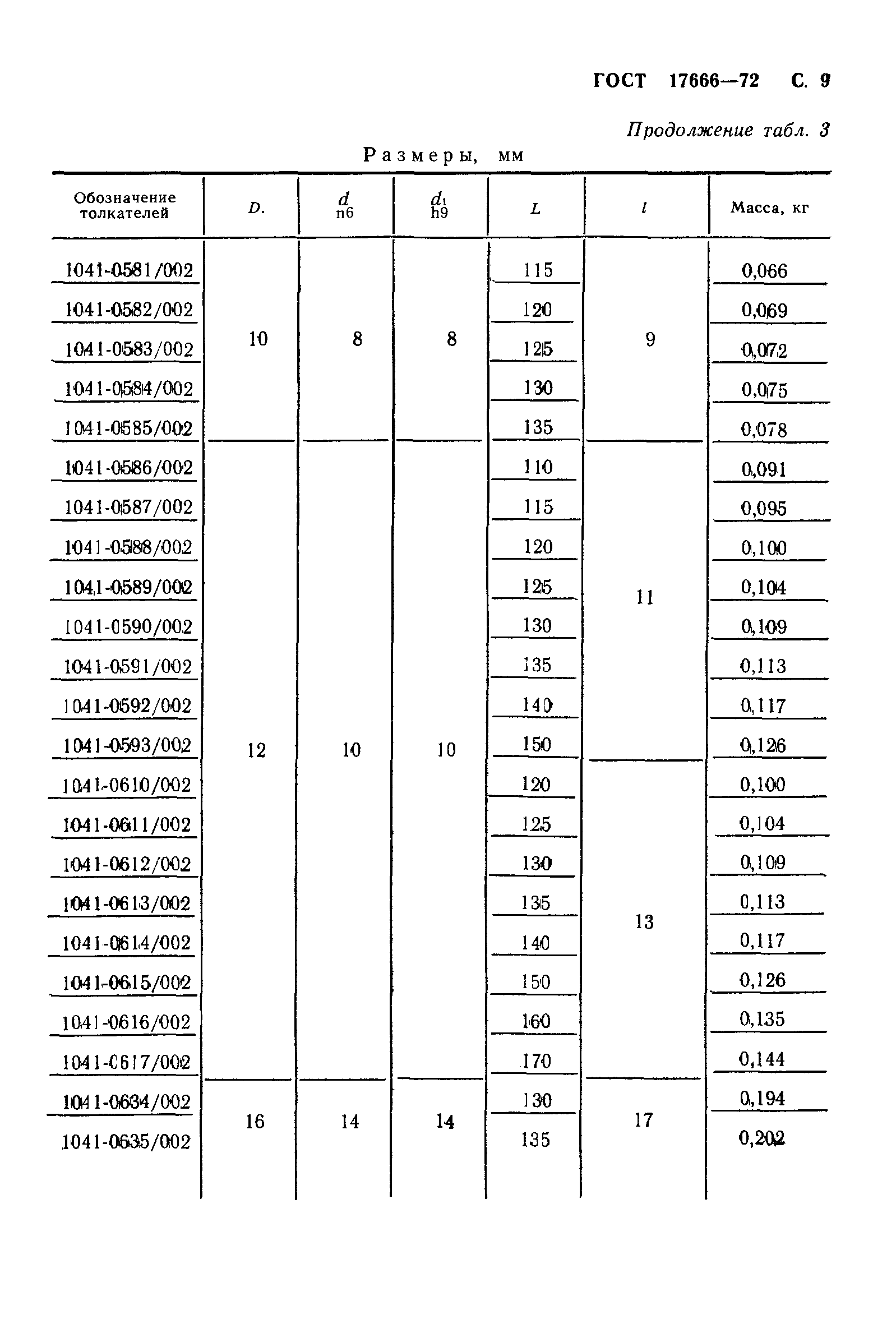
| Оглавление: | 1 Конструкция и размеры выталкивателей 2 Конструкция и размеры фланца (Поз. 1) 3 Конструкция и размеры толкателя (Поз. 2) Приложение Пример применения выталкивателя в штампе для листовой штамповке |
| Утверждён: | 28.04.1972 Госстандарт СССР (USSR Gosstandart 885) |
| Заменяет собой: |
|










