Скачать ГОСТ 18073-72 Державки для тангенциальных резцов и зажимных втулок к токарно-револьверным автоматам. Конструкция и размеры

Дата актуализации: 01.01.2021

ГОСТ 18073-72

Державки для тангенциальных резцов и зажимных втулок к токарно-револьверным автоматам. Конструкция и размеры

Обозначение: ГОСТ 18073-72
Обозначение англ: GOST 18073-72
Статус:действует
Название рус.:Державки для тангенциальных резцов и зажимных втулок к токарно-револьверным автоматам. Конструкция и размеры
Название англ.:Arbors for tangential cutters and clamping bushings for turret automatics. Design and dimensions
Дата добавления в базу:01.09.2013
Дата актуализации:01.01.2021
Дата введения:01.07.1973
Оглавление:1 Конструкция и размеры державок
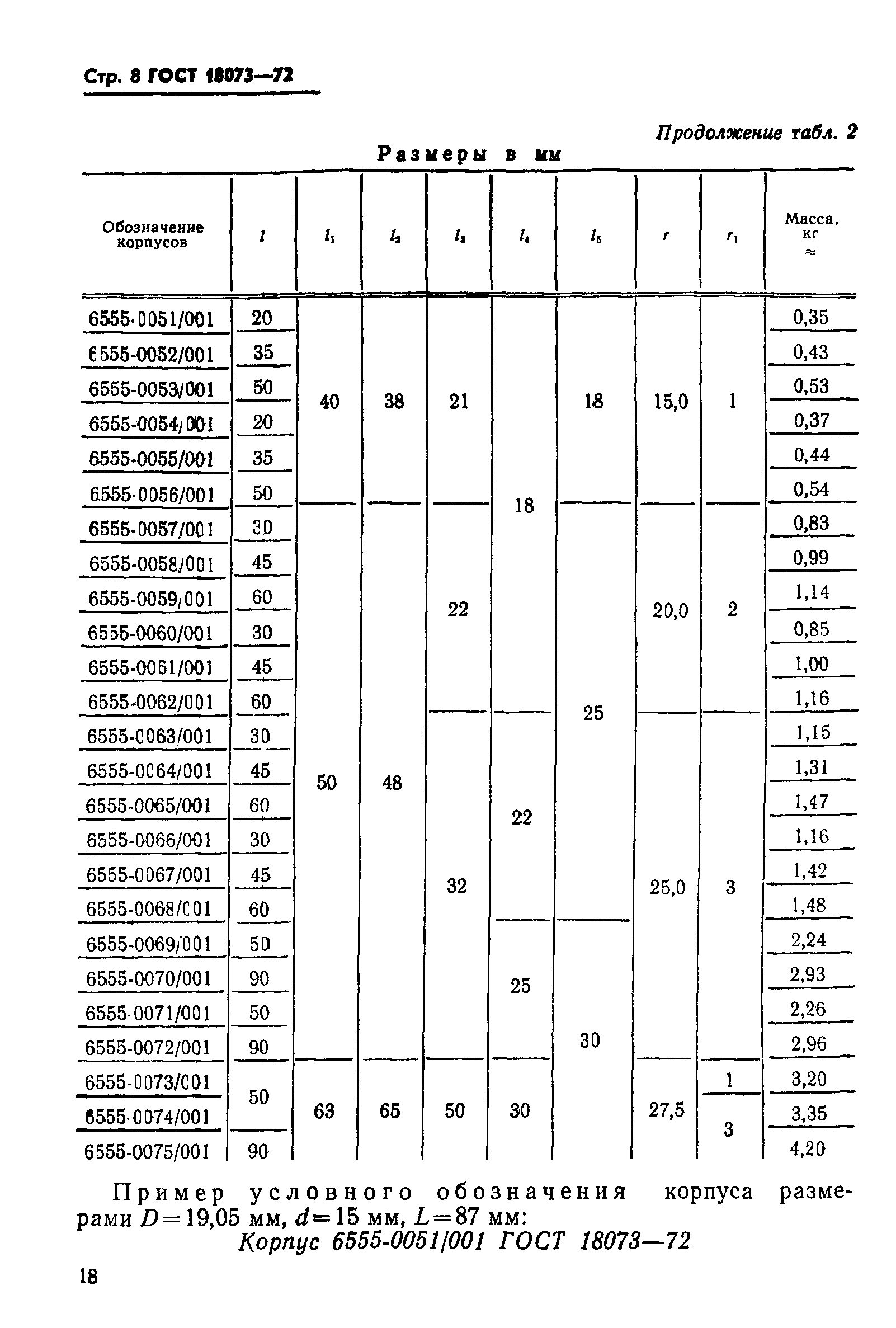
2 Конструкция и размеры корпусов (деталь 1)
Утверждён:28.07.1972 Госстандарт СССР (USSR Gosstandart 1520)
Заменяет собой:
  • МН 1227-60 (Сведения из перечня "Указатель государственных стандартов СССР 1980 г.", Издательство стандартов 1980)
ГОСТ 18073-72ГОСТ 18073-72ГОСТ 18073-72ГОСТ 18073-72ГОСТ 18073-72ГОСТ 18073-72ГОСТ 18073-72ГОСТ 18073-72ГОСТ 18073-72