Скачать ГОСТ 18355-73 Калибры-скобы односторонние двупредельные для длин свыше 10 до 360 мм. Конструкция и размеры

Дата актуализации: 01.01.2021

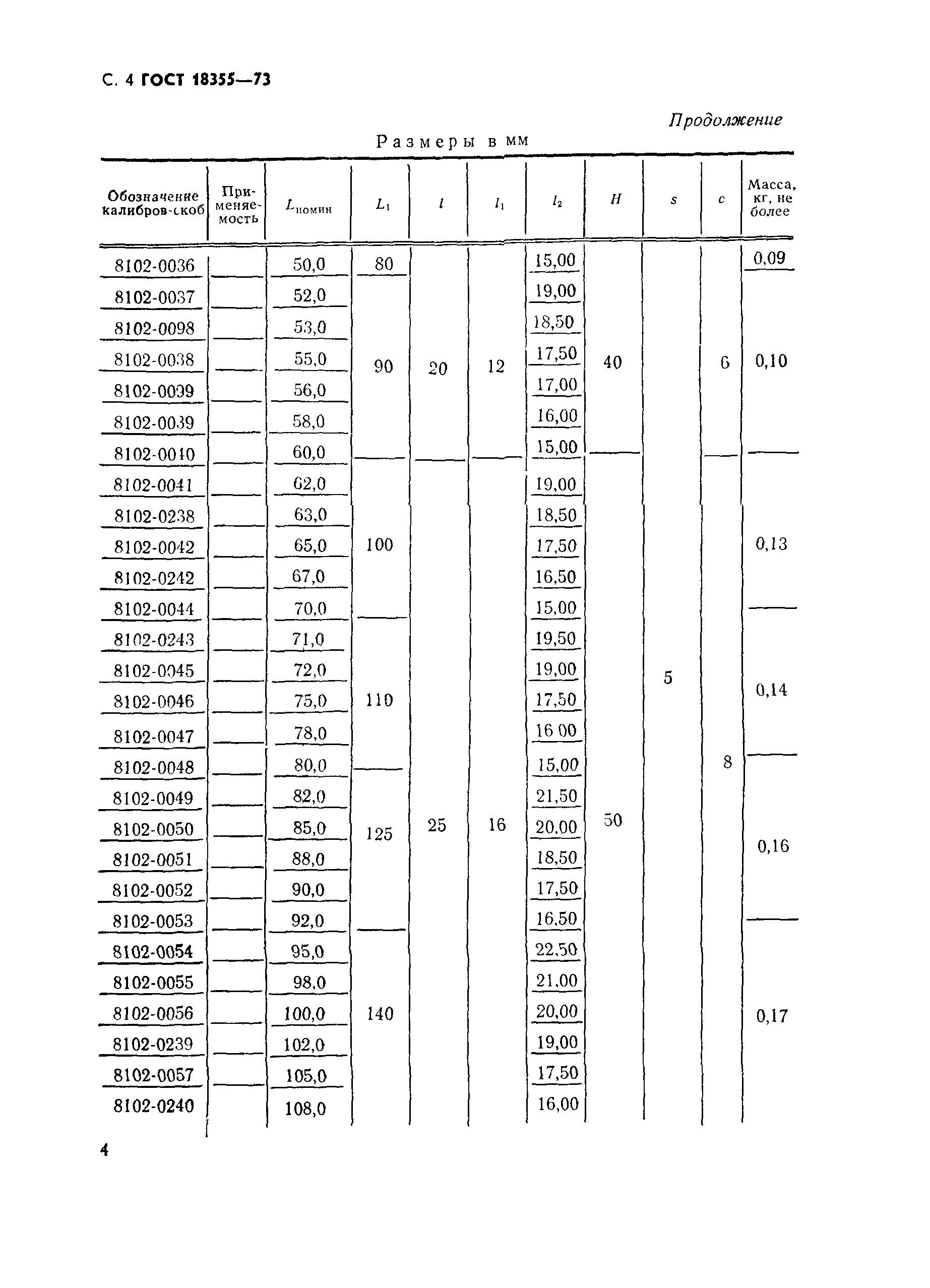
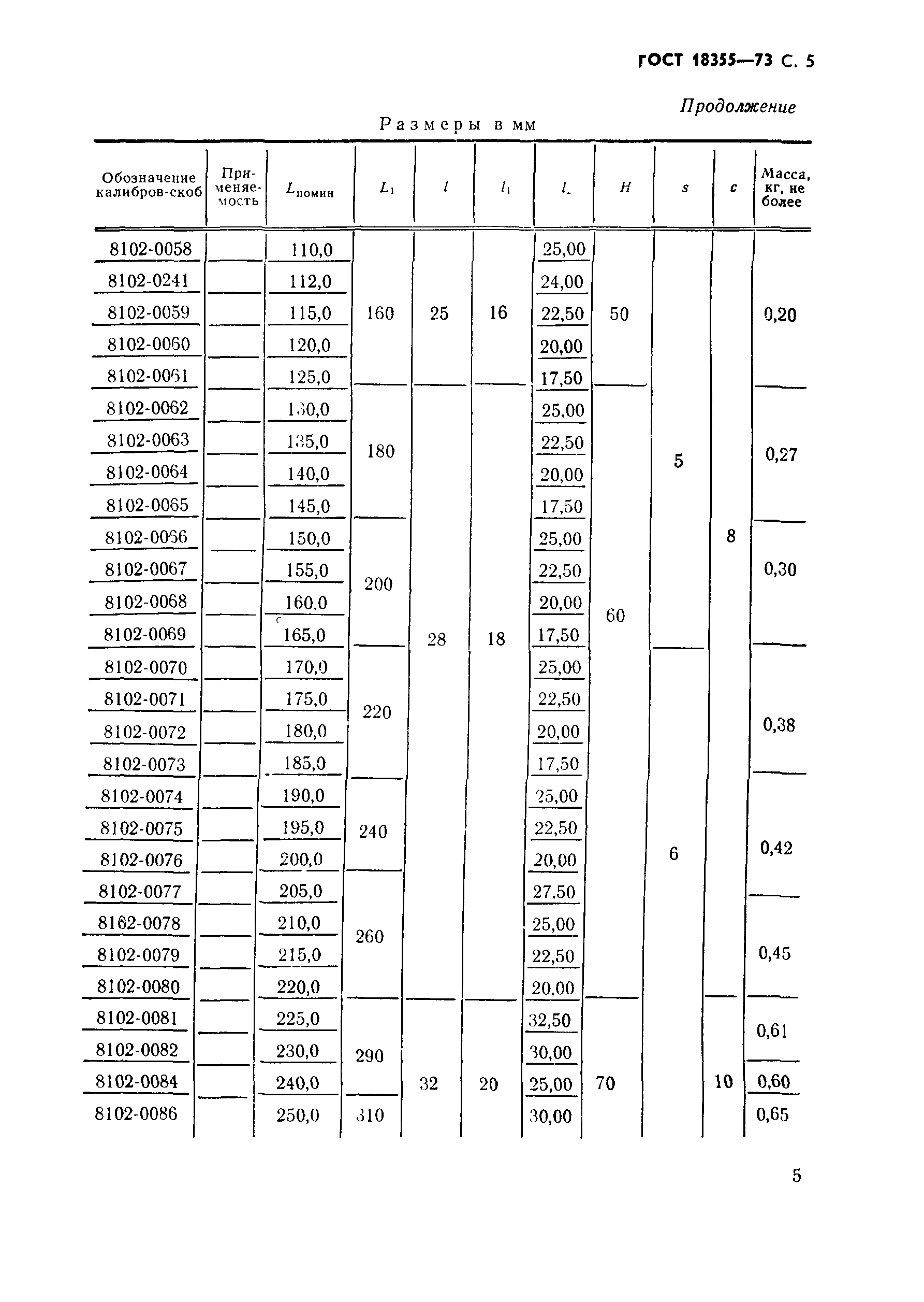
ГОСТ 18355-73

Калибры-скобы односторонние двупредельные для длин свыше 10 до 360 мм. Конструкция и размеры

Обозначение: ГОСТ 18355-73
Обозначение англ: GOST 18355-73
Статус:действует
Название рус.:Калибры-скобы односторонние двупредельные для длин свыше 10 до 360 мм. Конструкция и размеры
Название англ.:Plate single - ended snap - gauges for lenght over 10 to 360 mm. Design and dimensions
Дата добавления в базу:01.09.2013
Дата актуализации:01.01.2021
Дата введения:01.01.1974
Область применения:Стандарт распространяется на односторонние двупредельные калибры-скобы для контроля длин до 260 мм с полями допусков по ЕСДП и более грубых квалитетов, свыше 260 мм - 9-го и более грубых квалитетов, а также для контроля длин до 260 мм с полями допусков по системе ОСТ 2-го и более грубых классов точности, свыше 260 мм - 3-го и более грубых классов точности.
Утверждён:22.01.1973 Госстандарт СССР (USSR Gosstandart 133)
Издан: Издательство стандартов (1989 г. )
Заменяет собой:
  • МН 248-64
Нормативные ссылки:
ГОСТ 18355-73ГОСТ 18355-73ГОСТ 18355-73ГОСТ 18355-73ГОСТ 18355-73ГОСТ 18355-73ГОСТ 18355-73