Скачать ГОСТ 18438-73 Оправки зубчатые (шлицевые) прямобочные центровые. Конструкция и размерыДата актуализации: 01.01.2021
|
| Обозначение: | ГОСТ 18438-73 |
| Обозначение англ: | GOST 18438-73 |
| Статус: | действует |
| Название рус.: | Оправки зубчатые (шлицевые) прямобочные центровые. Конструкция и размеры |
| Название англ.: | Notched straight-side center arbors. Design and dimensions |
| Дата добавления в базу: | 01.09.2013 |
| Дата актуализации: | 01.01.2021 |
| Дата введения: | 01.07.1974 |
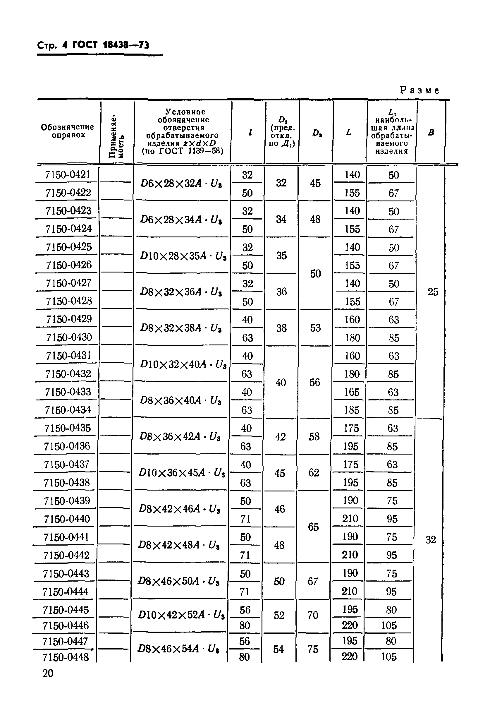
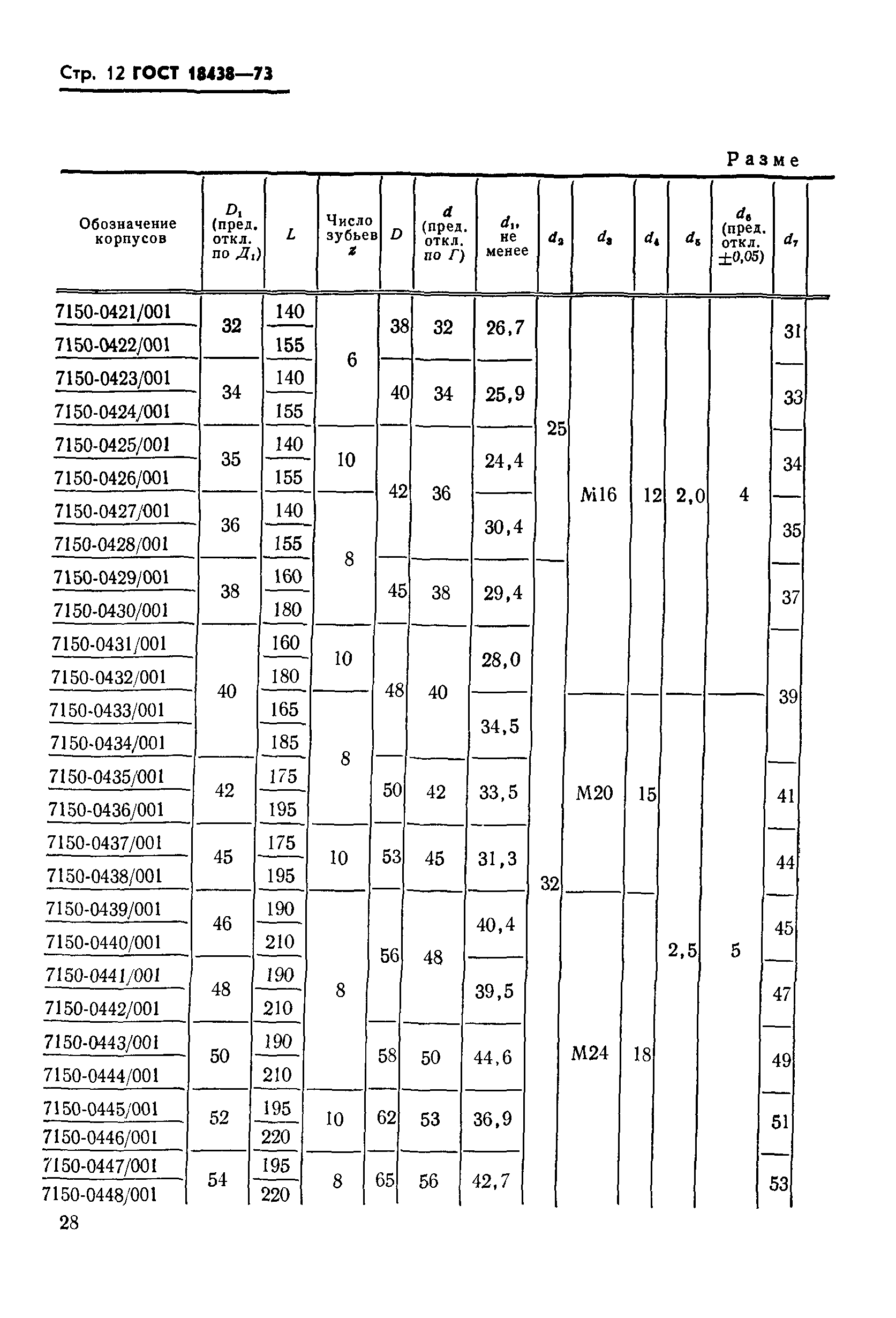
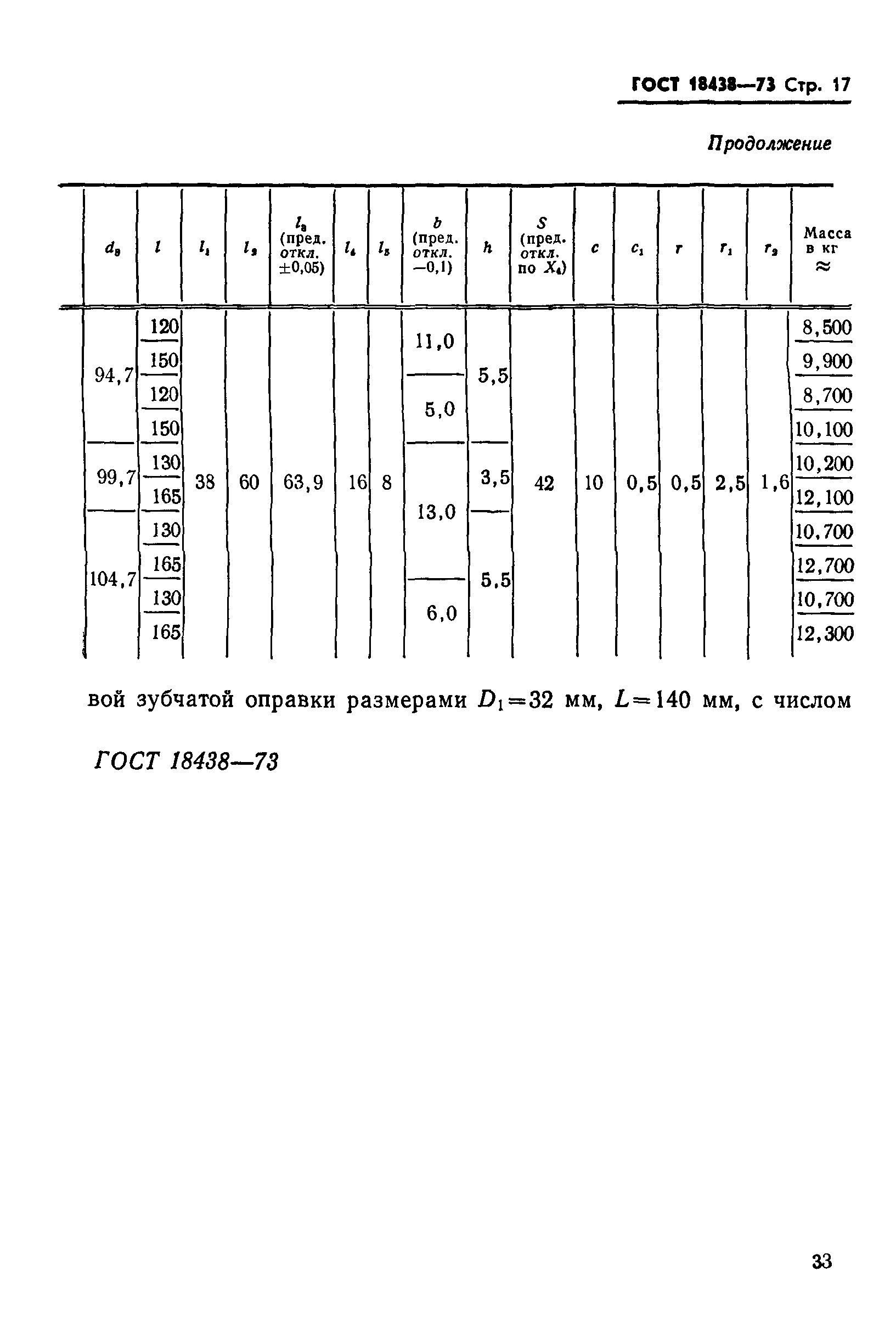
| Оглавление: | 1 Конструкция и размеры оправок 2 Конструкция и размеры корпуса (деталь 1) 3 Конструкция и размеры быстросъемной шайбы (деталь 2) Приложение к ГОСТ 18438-73 Пример применения центровых зубчатых оправок для обработки изделий с длиной посадочного места менее размера l |
| Утверждён: | 16.02.1973 Госстандарт СССР (USSR Gosstandart 390) |
| Заменяет собой: |
|























