Скачать ГОСТ 19309-73 Изложницы центробежные с фланцем, вкладышами и центробежными замками. Конструкция и размеры

Дата актуализации: 01.01.2021

ГОСТ 19309-73

Изложницы центробежные с фланцем, вкладышами и центробежными замками. Конструкция и размеры

Обозначение: ГОСТ 19309-73
Обозначение англ: GOST 19309-73
Статус:заменен
Название рус.:Изложницы центробежные с фланцем, вкладышами и центробежными замками. Конструкция и размеры
Название англ.:Centrifugal moulds with flange, inserts and centrifugal locks. Construction and dimensions
Дата добавления в базу:01.10.2014
Дата актуализации:01.01.2021
Дата введения:01.01.1975
Дата окончания срока действия:01.01.2000
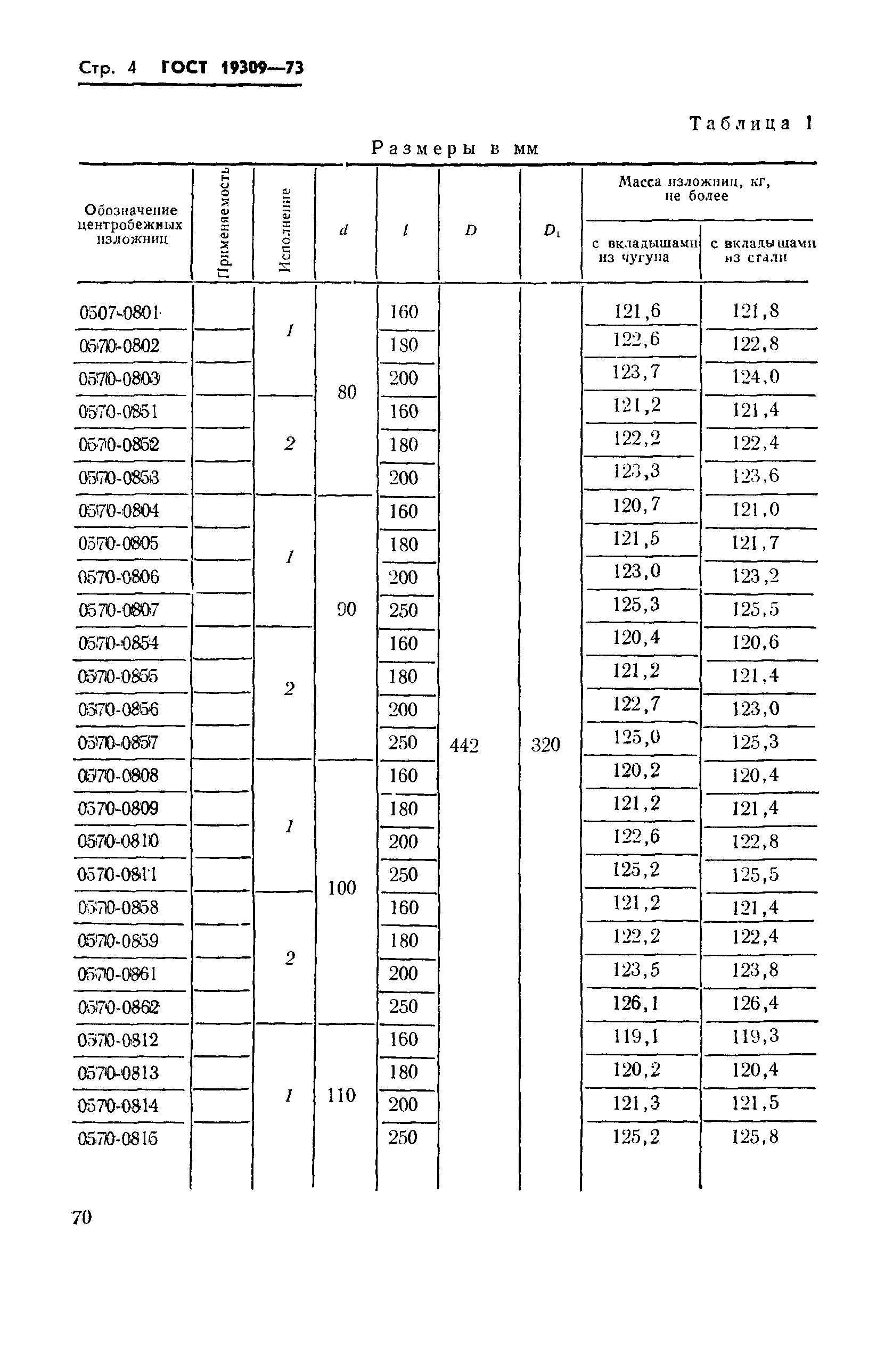
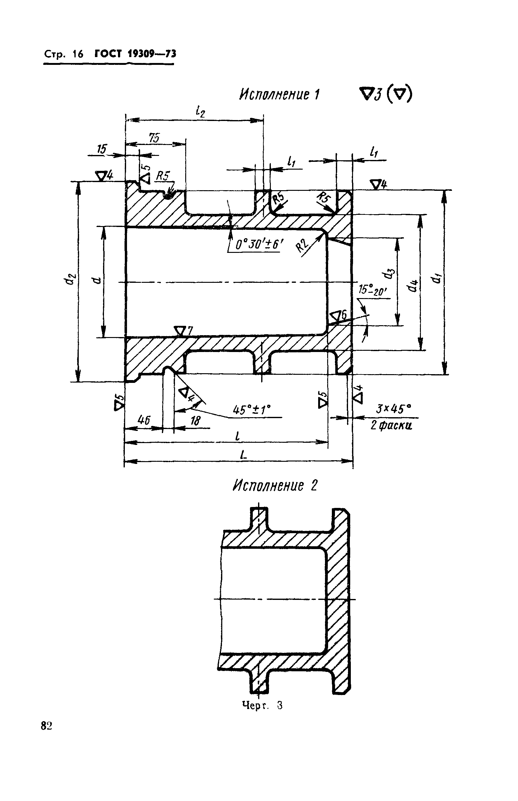
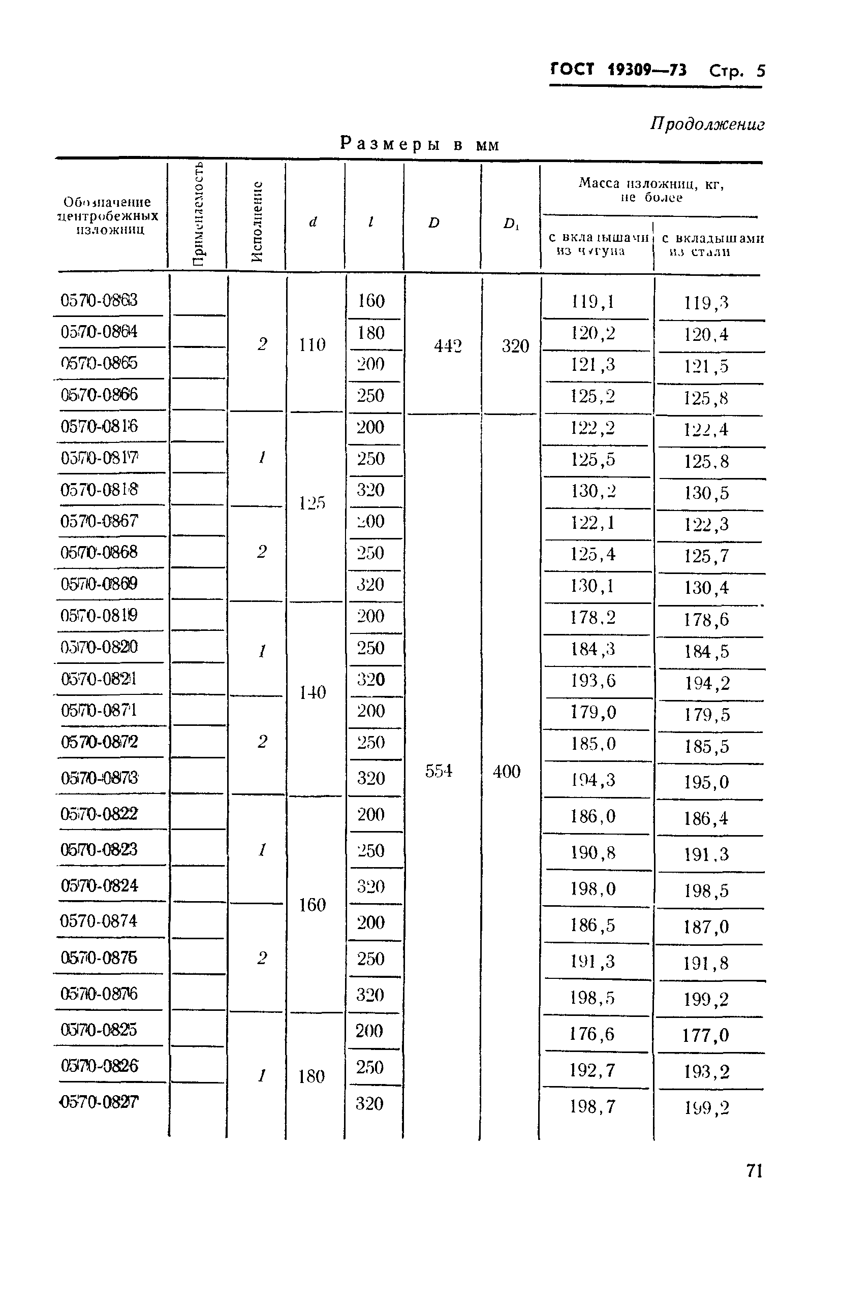
Область применения:Стандарт распространяется на центробежные изложницы с фланцем, вкладышами и центробежными замками для однопозиционных центробежных литьевых машин консольного типа с горизонтальной осью вращения, предназначенные для отливки втулок из стали, чугуна и цветных сплавов.
Утверждён:25.12.1973 Госстандарт СССР (USSR Gosstandart 2799)
Издан: Издательство стандартов (1974 г. )
Список изменений:
Заменяет собой:
  • МН 4190-62
Нормативные ссылки:
ГОСТ 19309-73ГОСТ 19309-73ГОСТ 19309-73ГОСТ 19309-73ГОСТ 19309-73ГОСТ 19309-73ГОСТ 19309-73ГОСТ 19309-73ГОСТ 19309-73ГОСТ 19309-73ГОСТ 19309-73ГОСТ 19309-73ГОСТ 19309-73ГОСТ 19309-73ГОСТ 19309-73ГОСТ 19309-73ГОСТ 19309-73ГОСТ 19309-73ГОСТ 19309-73ГОСТ 19309-73ГОСТ 19309-73ГОСТ 19309-73ГОСТ 19309-73

Текстовое изменение № 1 от 01.04.1982

№ 1№ 1