Скачать ГОСТ 19311-73 Крышки для центробежных изложниц. Конструкция и размеры

Дата актуализации: 01.01.2021

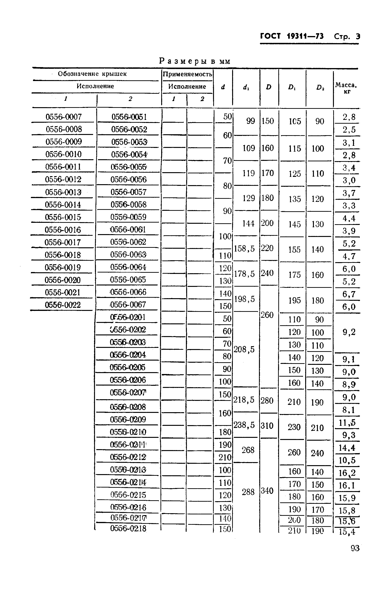
ГОСТ 19311-73

Крышки для центробежных изложниц. Конструкция и размеры

Обозначение: ГОСТ 19311-73
Обозначение англ: GOST 19311-73
Статус:заменен
Название рус.:Крышки для центробежных изложниц. Конструкция и размеры
Название англ.:Caps for centrifugal moulds. Construction and dimensions
Дата добавления в базу:01.10.2014
Дата актуализации:01.01.2021
Дата введения:01.01.1975
Дата окончания срока действия:01.01.2000
Область применения:Стандарт распространяется на крышки, применяемые в центробежных изложницах.
Утверждён:25.12.1973 Госстандарт СССР (USSR Gosstandart 2799)
Заменяет собой:
  • МН 4192-62
  • МН 4193-62
Нормативные ссылки:
ГОСТ 19311-73ГОСТ 19311-73ГОСТ 19311-73ГОСТ 19311-73ГОСТ 19311-73