Скачать ГОСТ 19937-74 Втулки литниковые пресс-форм литья под давлением. Конструкция и размеры

Дата актуализации: 01.01.2021

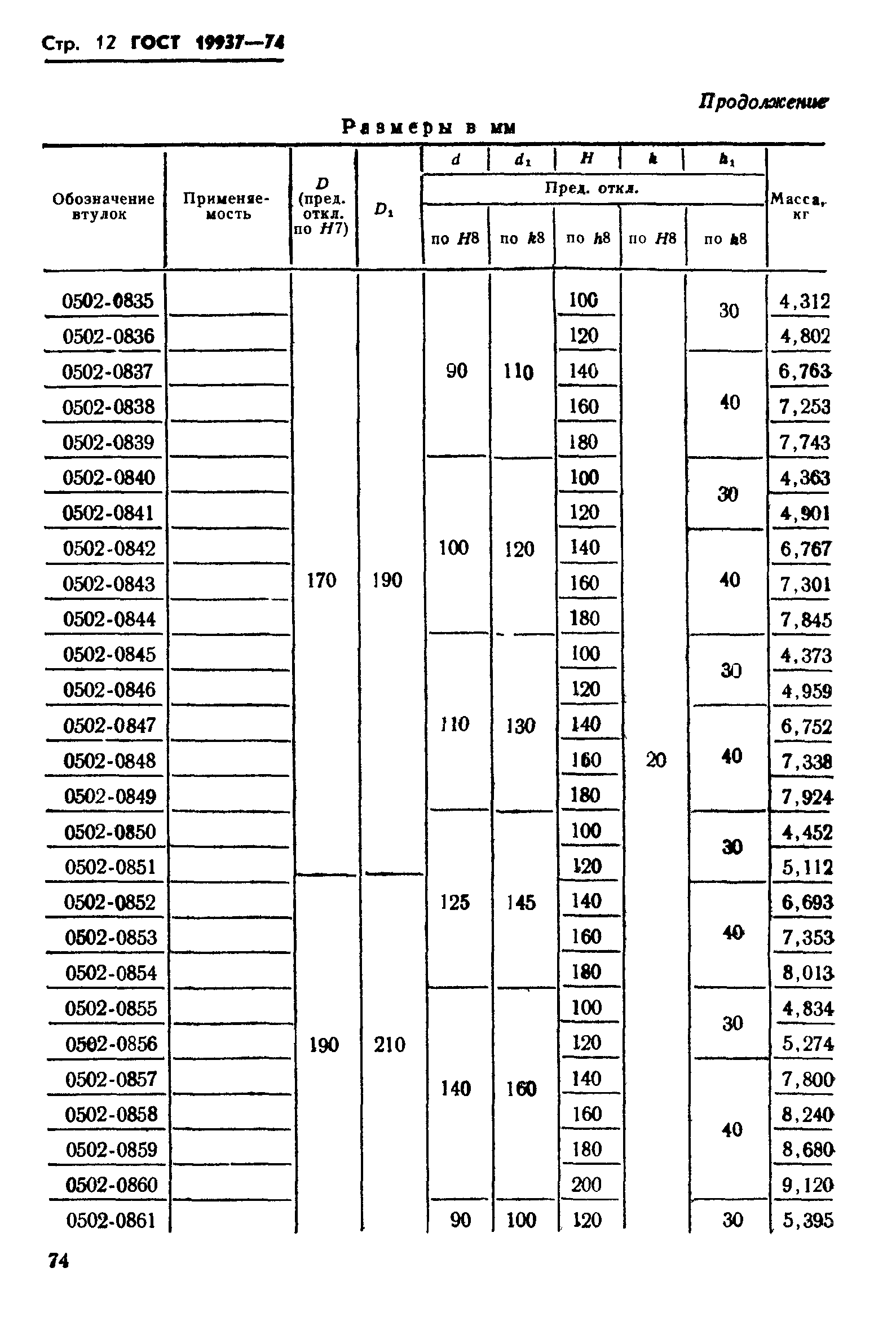
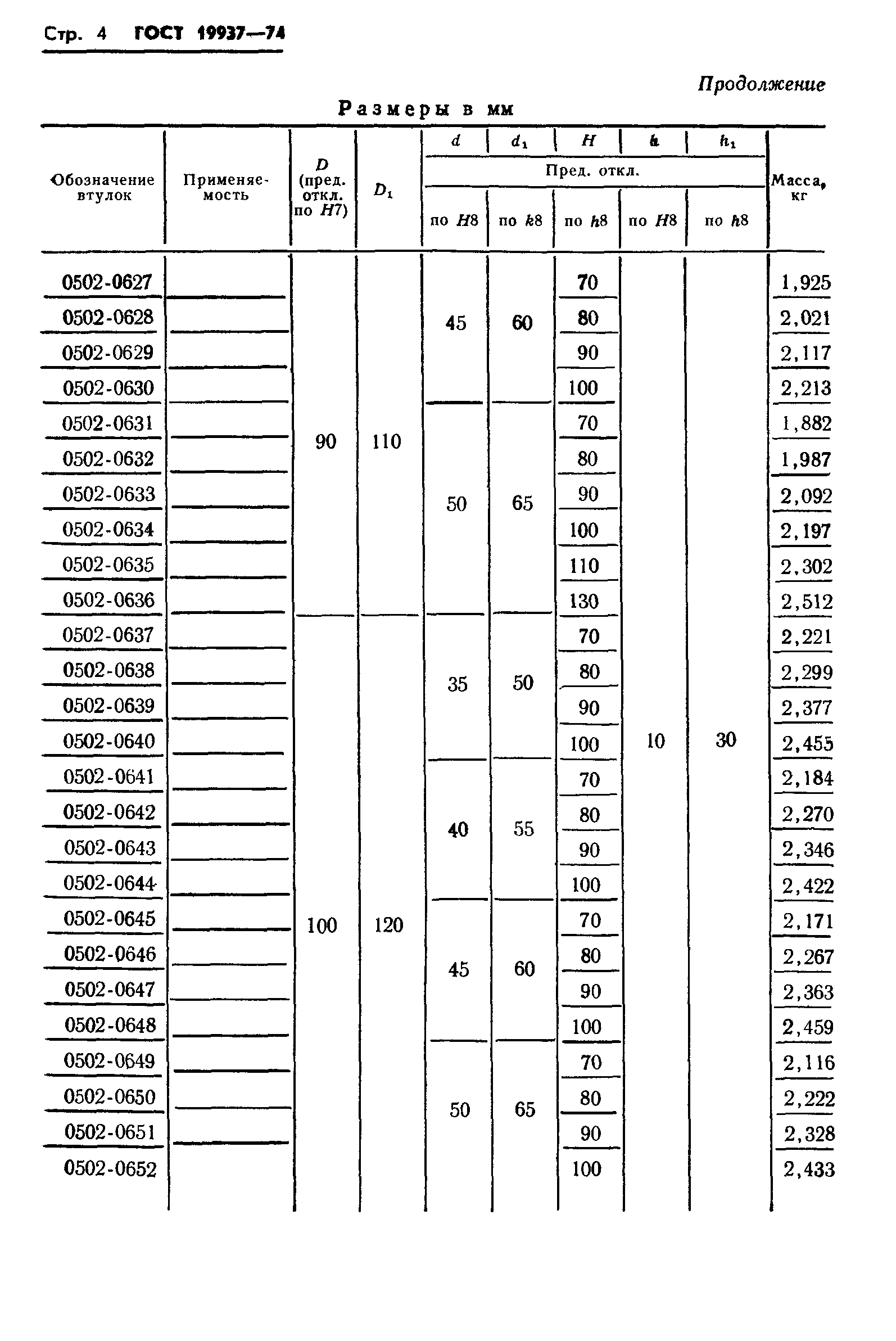
ГОСТ 19937-74

Втулки литниковые пресс-форм литья под давлением. Конструкция и размеры

Обозначение: ГОСТ 19937-74
Обозначение англ: GOST 19937-74
Статус:взамен
Название рус.:Втулки литниковые пресс-форм литья под давлением. Конструкция и размеры
Название англ.:Gating inserts of dies for die casting. Design and dimensions
Дата добавления в базу:01.09.2013
Дата актуализации:01.01.2021
Дата введения:01.07.1975
Область применения:Стандарт распространяется на литниковые втулки с посадкой на стакан машины, применяемые при литье под давлением деталей из цветных сплавов на машинах с горизонтальной камерой прессования.
Оглавление:Приложение (рекомендуемое) Установка литниковых втулок
Утверждён:24.07.1974 Государственный комитет стандартов Совета Министров СССР (USSR National Committee on Standards at the Cabinet of Ministers 1760)
Список изменений:
Заменяет собой:
  • МН 1567-61 (Сведения из перечня "Указатель государственных стандартов СССР 1980 г.", Издательство стандартов 1980)
Нормативные ссылки:
ГОСТ 19937-74ГОСТ 19937-74ГОСТ 19937-74ГОСТ 19937-74ГОСТ 19937-74ГОСТ 19937-74ГОСТ 19937-74ГОСТ 19937-74ГОСТ 19937-74ГОСТ 19937-74ГОСТ 19937-74ГОСТ 19937-74ГОСТ 19937-74ГОСТ 19937-74ГОСТ 19937-74ГОСТ 19937-74ГОСТ 19937-74ГОСТ 19937-74

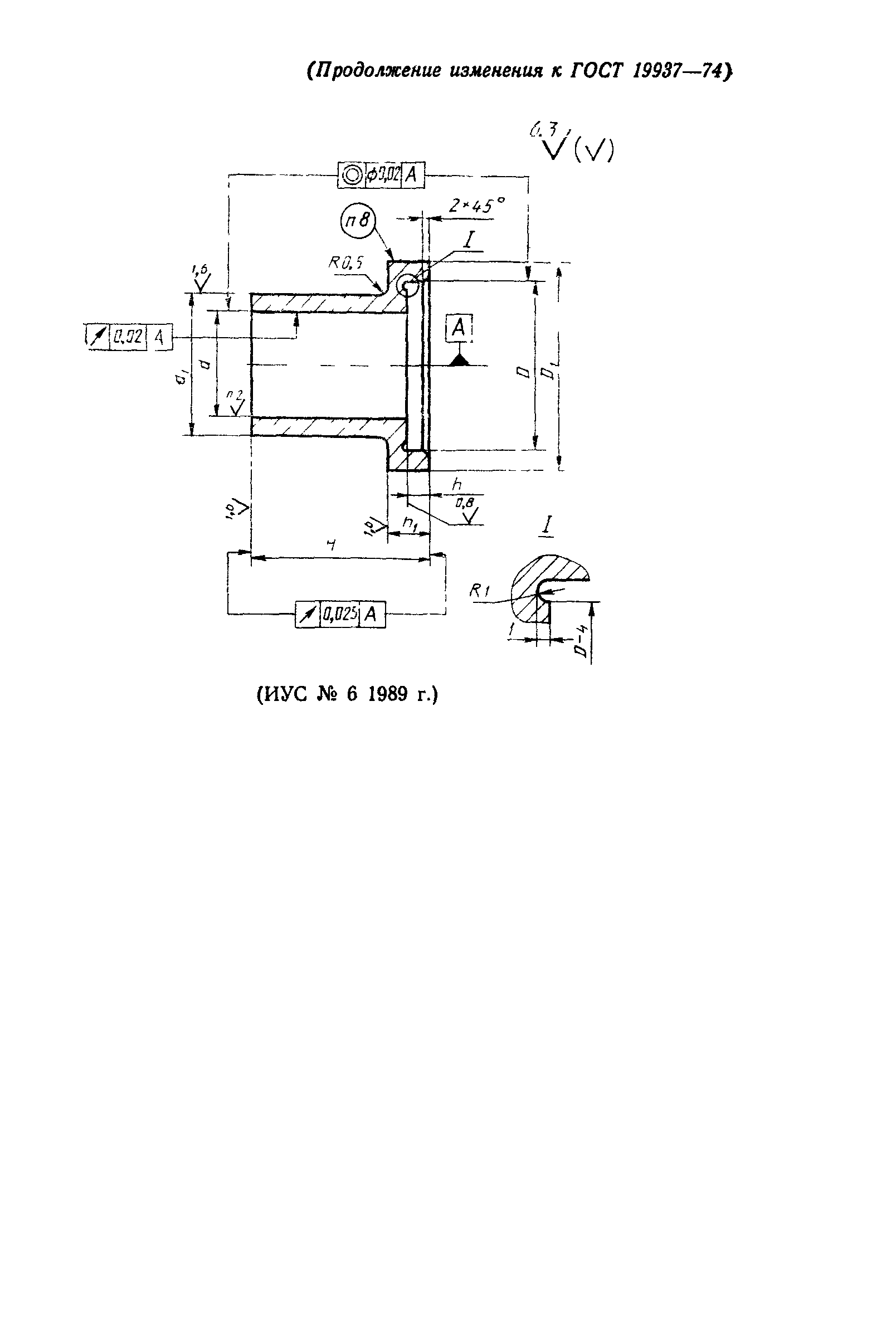
Текстовое изменение № 2 от 01.01.1990

№ 2№ 2№ 2