Скачать ГОСТ 20332-84 Тиристоры. Термины, определения и буквенные обозначения параметровДата актуализации: 01.01.2021
|
| Обозначение: | ГОСТ 20332-84 |
| Обозначение англ: | GOST 20332-84 |
| Статус: | действует |
| Название рус.: | Тиристоры. Термины, определения и буквенные обозначения параметров |
| Название англ.: | Thyristors. Electrical parameters. Terms, definitions and letter symbols |
| Дата добавления в базу: | 01.09.2013 |
| Дата актуализации: | 01.01.2021 |
| Дата введения: | 01.07.1985 |
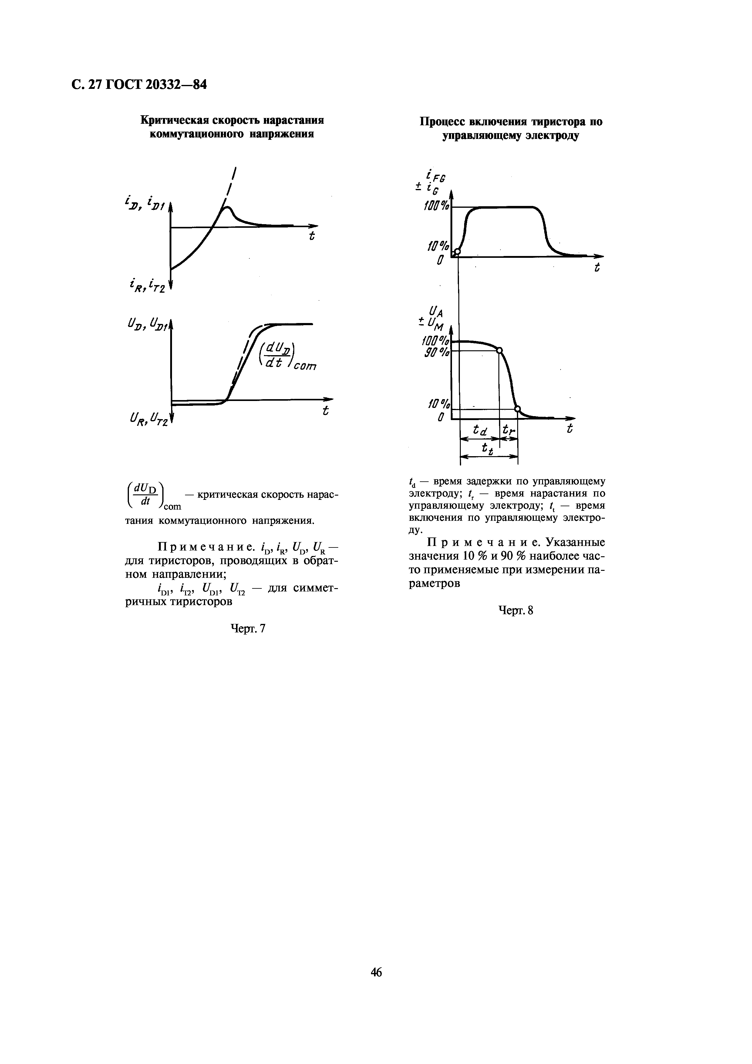
| Область применения: | Стандарт устанавливает применяемые в науке,технике и производстве термины, определения и буквенные обозначения параметров тиристоров. |
| Утверждён: | 29.04.1984 Госстандарт СССР (USSR Gosstandart 1543) |
| Издан: | Издательство стандартов (1984 г. ) Издательство стандартов (1995 г. ) Стандартинформ (2005 г. ) |
| Заменяет собой: |
|




























