Скачать ГОСТ 20872-80 Резцы токарные сборные для контурного точения с механическим креплением многогранных твердосплавных пластин. Конструкция и размеры

Дата актуализации: 01.01.2021

ГОСТ 20872-80

Резцы токарные сборные для контурного точения с механическим креплением многогранных твердосплавных пластин. Конструкция и размеры

Обозначение: ГОСТ 20872-80
Обозначение англ: GOST 20872-80
Статус:взамен
Название рус.:Резцы токарные сборные для контурного точения с механическим креплением многогранных твердосплавных пластин. Конструкция и размеры
Название англ.:Contour turning tools with mechanically clamped cemented carbide indexible inserts. Design and dimensions
Дата добавления в базу:01.09.2013
Дата актуализации:01.01.2021
Дата введения:01.01.1982
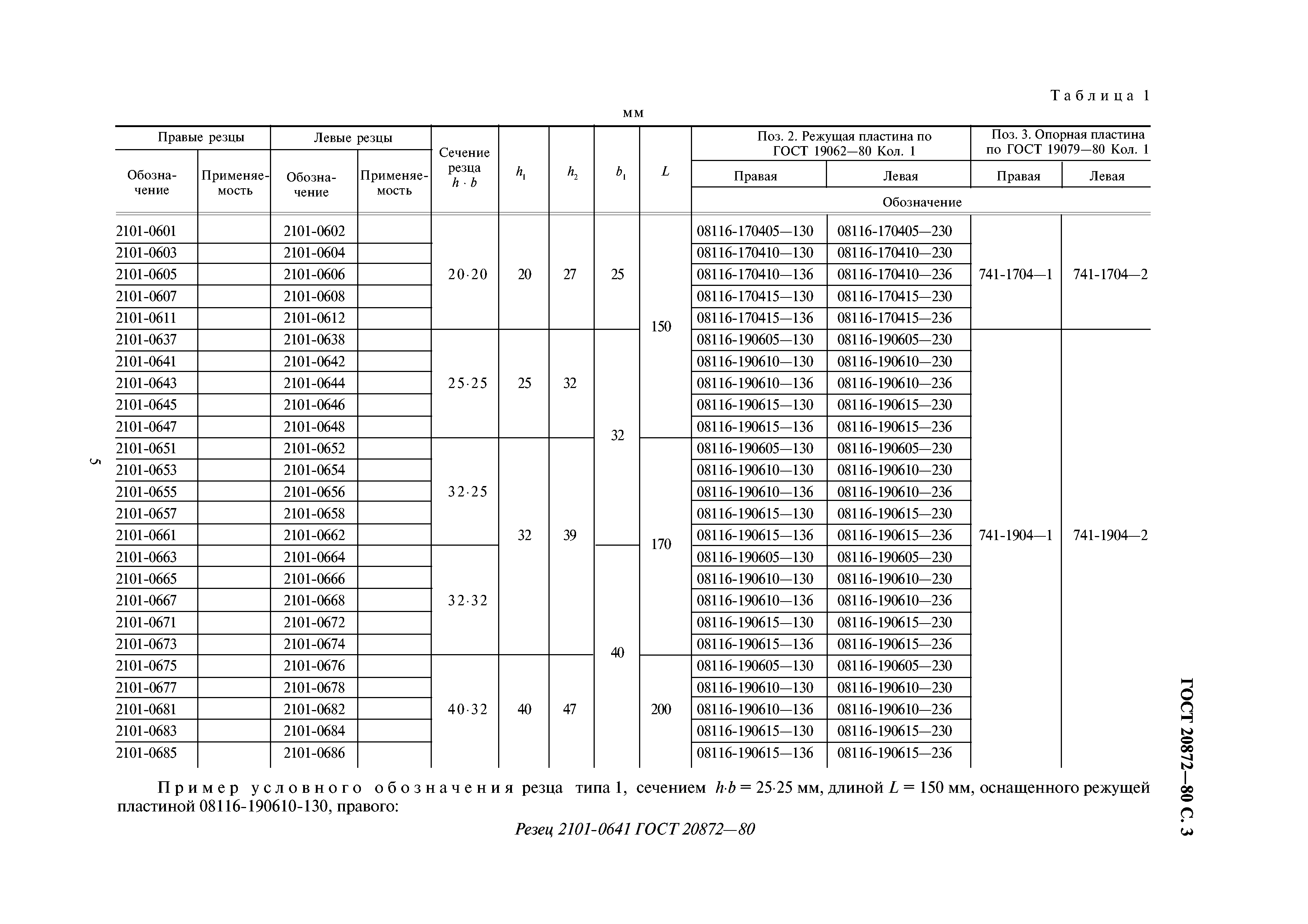
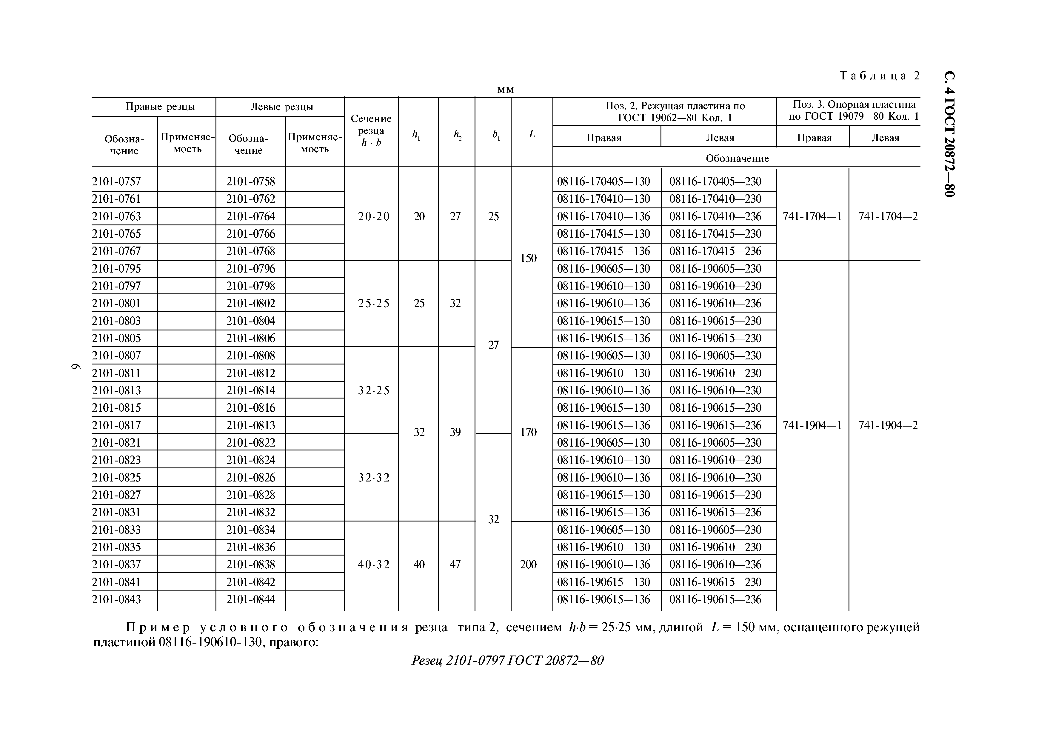
Область применения:Стандарт распространяется на резцы для контурного точения с механическим креплением многогранных твердосплавных пластин, предназначенные для работы на станках с числовым программным управлением и на универсальных станках.
Оглавление:Приложение Геометрические параметры резцов и конструкции деталей к ним
Разработан: Минстанкопром
Утверждён:17.11.1980 Государственный комитет СССР по стандартам (USSR National Committee on Standards 5382)
Издан: ИПК Издательство стандартов (2003 г. )
Заменяет собой:
  • ГОСТ 20872-75 «Резцы токарные сборные для контурного точения с механическим креплением многогранных твердосплавных пластин. Конструкция и размеры»
Нормативные ссылки:
ГОСТ 20872-80ГОСТ 20872-80ГОСТ 20872-80ГОСТ 20872-80ГОСТ 20872-80ГОСТ 20872-80ГОСТ 20872-80ГОСТ 20872-80ГОСТ 20872-80ГОСТ 20872-80ГОСТ 20872-80ГОСТ 20872-80ГОСТ 20872-80ГОСТ 20872-80ГОСТ 20872-80