Скачать ГОСТ 21295-75 Выталкиватели регулируемые для нагреваемых стержневых ящиков. Конструкция и размерыДата актуализации: 01.01.2021
|
| Обозначение: | ГОСТ 21295-75 |
| Обозначение англ: | GOST 21295-75 |
| Статус: | действует |
| Название рус.: | Выталкиватели регулируемые для нагреваемых стержневых ящиков. Конструкция и размеры |
| Название англ.: | Regulable ejectors for heated core boxes. Design and dimensions |
| Дата добавления в базу: | 01.09.2013 |
| Дата актуализации: | 01.01.2021 |
| Дата введения: | 01.01.1977 |
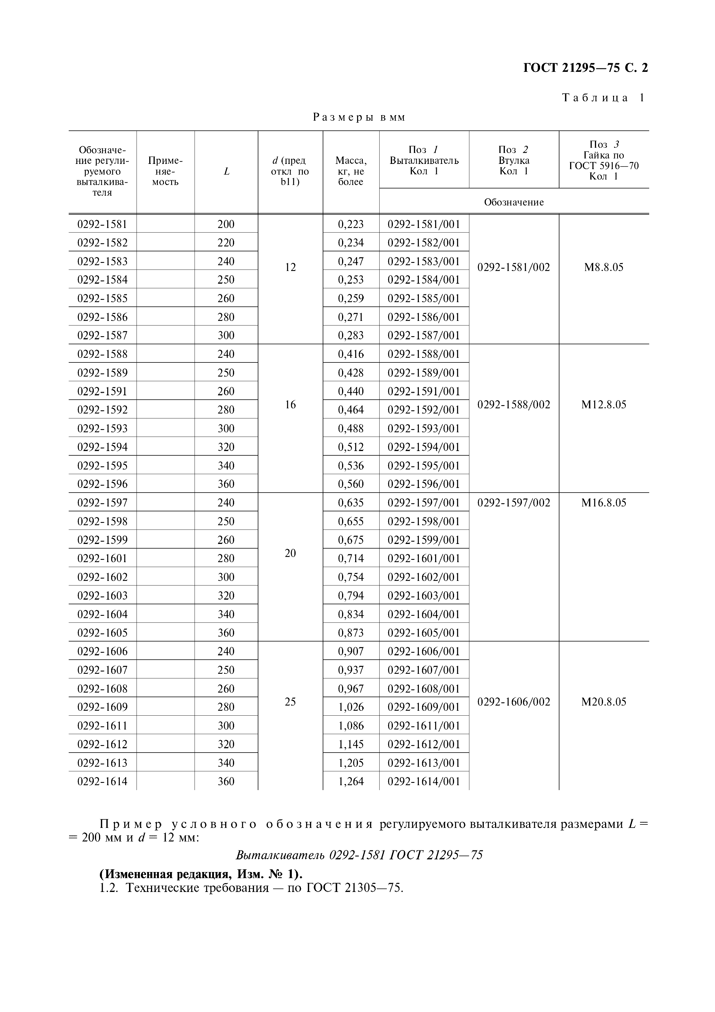
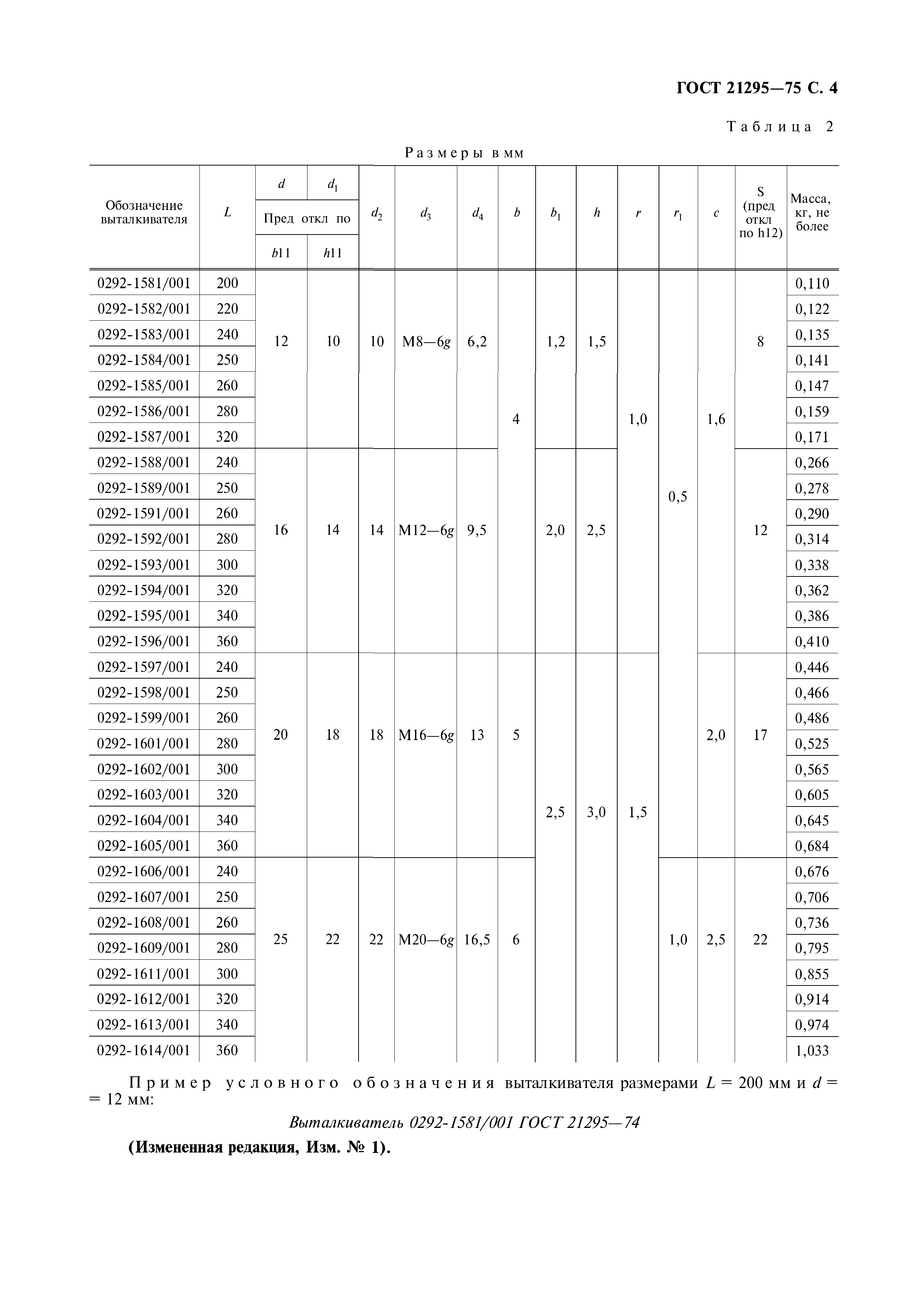
| Оглавление: | 1 Конструкция и размеры регулируемых выталкивателей 2 Конструкция и размеры выталкивателей (поз. 1) 3 Конструкция и размеры втулок (поз. 2) Приложение Пример установки регулируемых выталкивателей |
| Утверждён: | 28.11.1975 Госстандарт СССР (USSR Gosstandart 3726) |







