Скачать ГОСТ 21582-76 Зенкеры торцовые с коническим хвостовиком для обработки деталей из легких сплавов. Конструкция и размеры

Дата актуализации: 01.01.2021

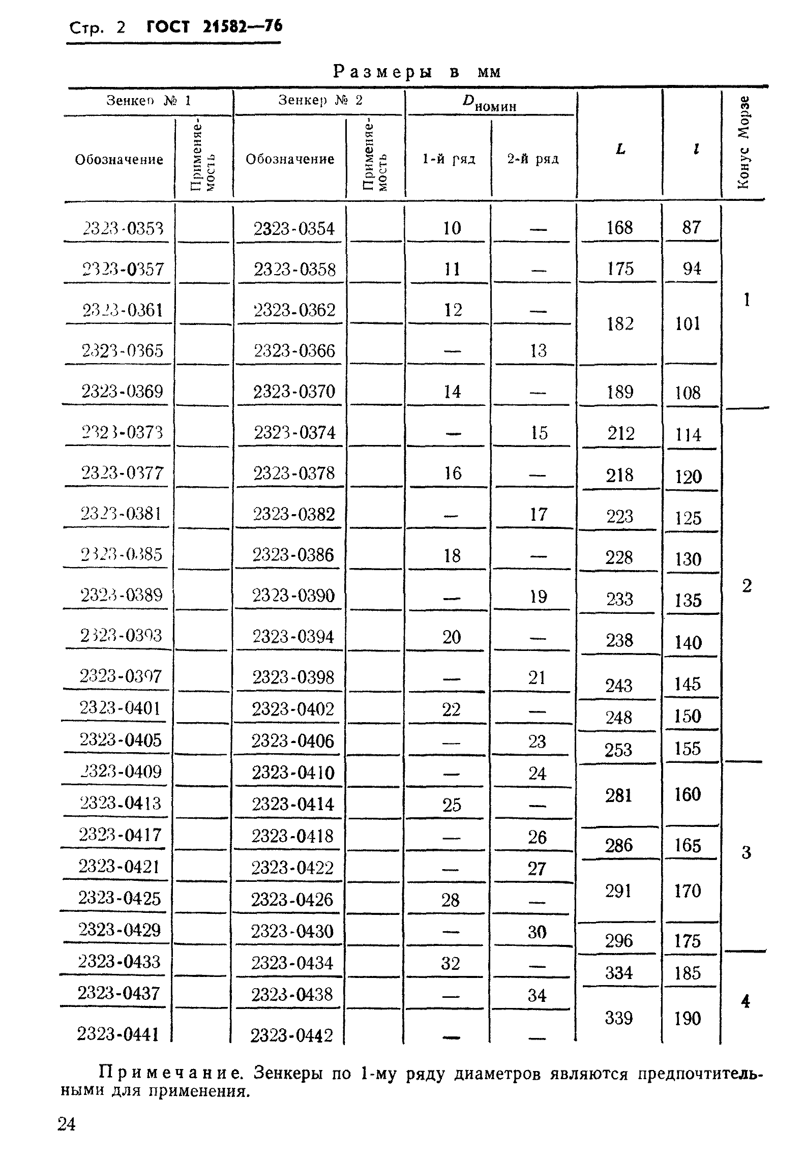
ГОСТ 21582-76

Зенкеры торцовые с коническим хвостовиком для обработки деталей из легких сплавов. Конструкция и размеры

Обозначение: ГОСТ 21582-76
Обозначение англ: GOST 21582-76
Статус:действует
Название рус.:Зенкеры торцовые с коническим хвостовиком для обработки деталей из легких сплавов. Конструкция и размеры
Название англ.:End countersinks with taper chucking for machining parts from light alloys. Design and dimensions
Дата добавления в базу:01.09.2013
Дата актуализации:01.01.2021
Дата введения:01.01.1977
Утверждён:20.02.1976 Госстандарт СССР (USSR Gosstandart 452)
Заменяет собой:
  • МН 328-60 (Сведения из перечня "Указатель государственных стандартов СССР 1980 г.", Издательство стандартов 1980)
ГОСТ 21582-76ГОСТ 21582-76ГОСТ 21582-76ГОСТ 21582-76ГОСТ 21582-76