Скачать ГОСТ 21835-84 Устройства коммутационной техники связи управляющие. Термины и определенияДата актуализации: 01.01.2021
|
| Обозначение: | ГОСТ 21835-84 |
| Обозначение англ: | GOST 21835-84 |
| Статус: | действует |
| Название рус.: | Устройства коммутационной техники связи управляющие. Термины и определения |
| Название англ.: | Control unit of switching communication. Terms and definitions |
| Дата добавления в базу: | 01.09.2013 |
| Дата актуализации: | 01.01.2021 |
| Дата введения: | 01.07.1985 |
| Область применения: | Стандарт устанавливает применяемые в науке, технике и производстве термины и определения основных понятий управляющих устройств коммутационной техники связи. Термины, установленные стандартом, обязательны для применения в документации всех видов, учебниках, учебных пособиях, технической и справочной литературе. |
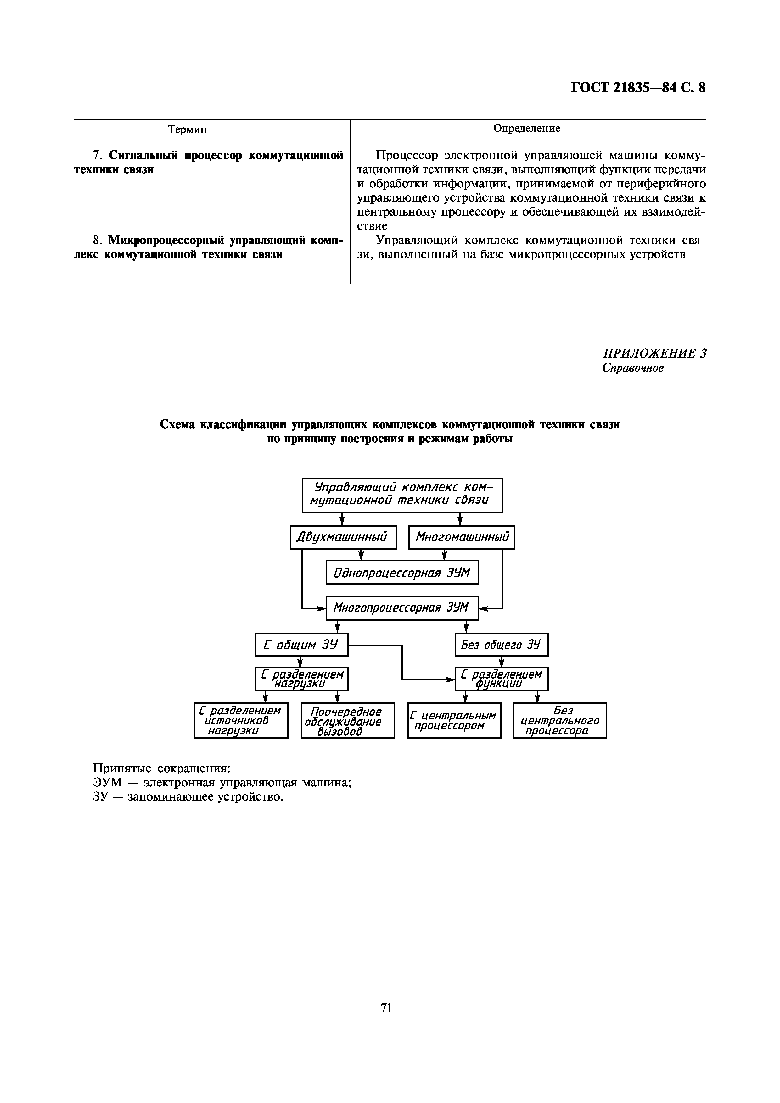
| Оглавление: | Общие понятия управляющих устройств в коммутационной технике связи Общие понятия управляющих устройств вторичной сети связи Виды управляющих устройств коммутационной техники связи Состав управляющих устройств коммутационной техники связи Режимы работы программного управляющего устройства Алфавитный указатель терминов Приложение 1 (справочное) Схема классификации систем управления вторичной сетью связи по принципу построения Приложение 2 (справочное) Общие понятия управляющего комплекса коммутационной техники связи Приложение 3 (справочное) Схема классификации управляющих комплексов коммутационной техники по принципу построения и режимам работы |
| Разработан: | Министерство связи СССР |
| Утверждён: | 27.03.1984 Госстандарт СССР (USSR Gosstandart 1026) |
| Издан: | Издательство стандартов (1984 г. ) |
| Заменяет собой: |
|
| Нормативные ссылки: |







