Скачать ГОСТ 22078-76 Втулки центральные пресс-форм для литья термопластов под давлением. Конструкция и размерыДата актуализации: 01.01.2021 ГОСТ 22078-76
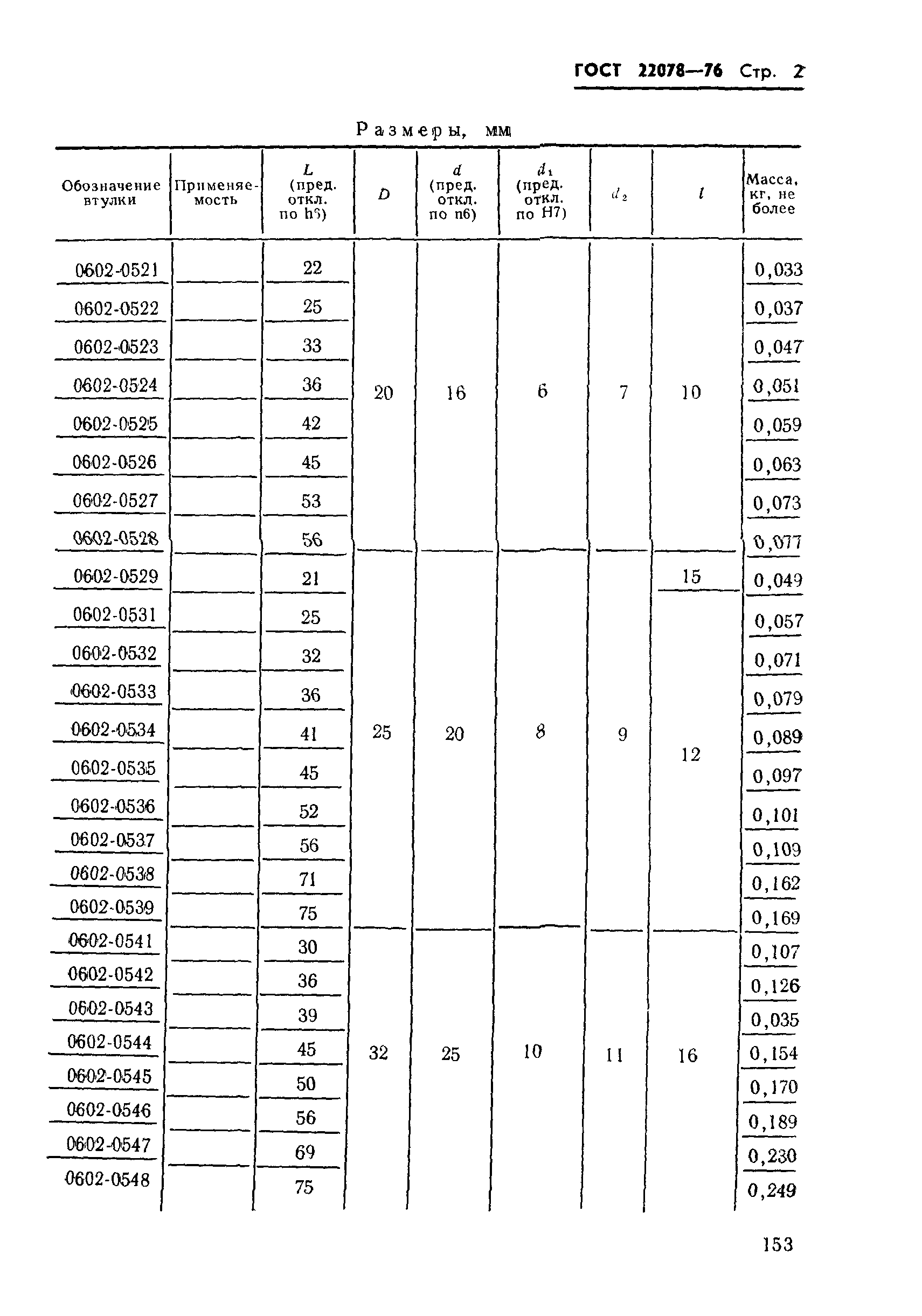
Втулки центральные пресс-форм для литья термопластов под давлением. Конструкция и размеры| Обозначение: | ГОСТ 22078-76 | | Обозначение англ: | GOST 22078-76 | | Статус: | действует | | Название рус.: | Втулки центральные пресс-форм для литья термопластов под давлением. Конструкция и размеры | | Название англ.: | Central bushings of injection molds. Design and dimensions | | Дата добавления в базу: | 01.09.2013 | | Дата актуализации: | 01.01.2021 | | Дата введения: | 01.07.1977 | | Утверждён: | 25.08.1976 Госстандарт СССР (USSR Gosstandart 2010)
| | Заменяет собой: | - МН 5166-63 (Сведения из перечня "Указатель государственных стандартов СССР 1980 г.", Издательство стандартов 1980)
|
 
|