Скачать ГОСТ 22188-83 Буфера с винтовыми цилиндрическими пружинами для штампов листовой штамповки. Конструкция и размеры

Дата актуализации: 01.01.2021

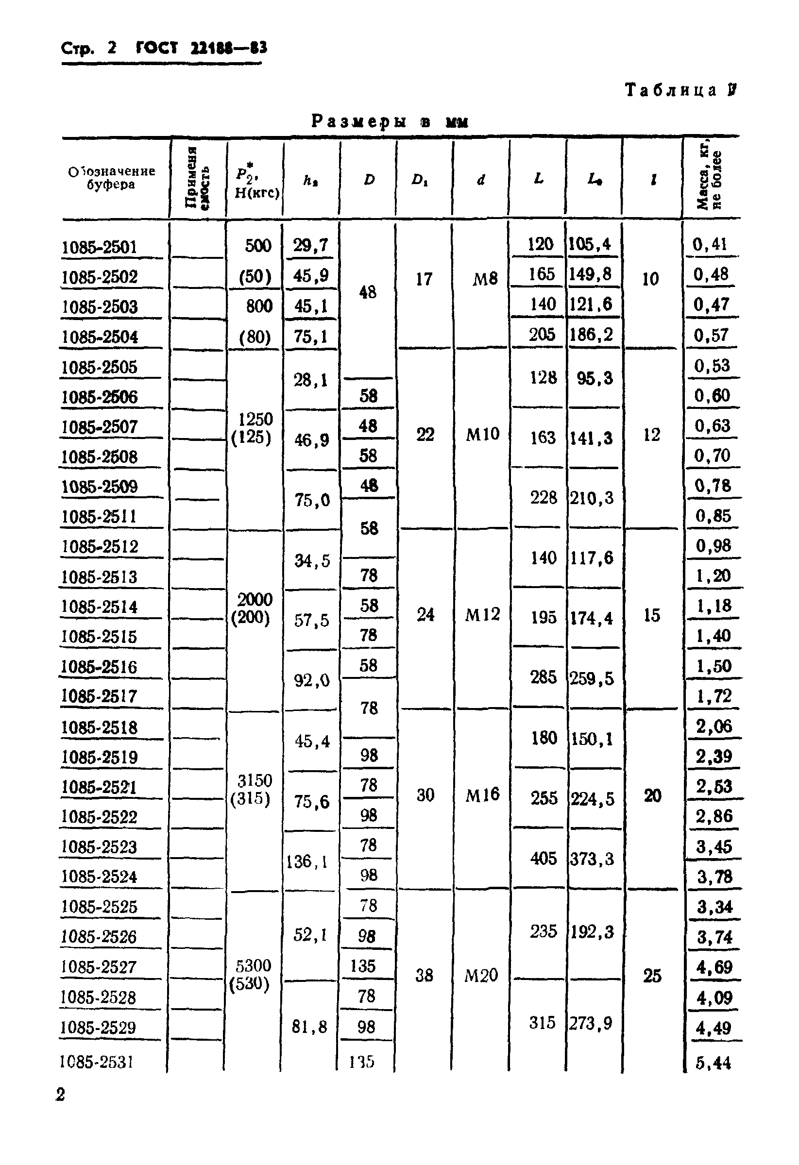
ГОСТ 22188-83

Буфера с винтовыми цилиндрическими пружинами для штампов листовой штамповки. Конструкция и размеры

Обозначение: ГОСТ 22188-83
Обозначение англ: GOST 22188-83
Статус:действует
Название рус.:Буфера с винтовыми цилиндрическими пружинами для штампов листовой штамповки. Конструкция и размеры
Название англ.:Cylindrical helical spring buffers for sheet stamping dies. Design and dimensions
Дата добавления в базу:01.09.2013
Дата актуализации:01.01.2021
Дата введения:01.01.1984
Оглавление:Приложение Пример применения буфера с винтовой цилиндрической пружиной для штампов листовой штамповки
Утверждён:25.01.1983 Госстандарт СССР (USSR Gosstandart 363)
ГОСТ 22188-83ГОСТ 22188-83ГОСТ 22188-83ГОСТ 22188-83ГОСТ 22188-83ГОСТ 22188-83ГОСТ 22188-83ГОСТ 22188-83ГОСТ 22188-83ГОСТ 22188-83ГОСТ 22188-83ГОСТ 22188-83ГОСТ 22188-83