Скачать ГОСТ 22191-83 Буфера с резиновыми пружинами для штампов листовой штамповки. Конструкция и размерыДата актуализации: 01.01.2021 ГОСТ 22191-83
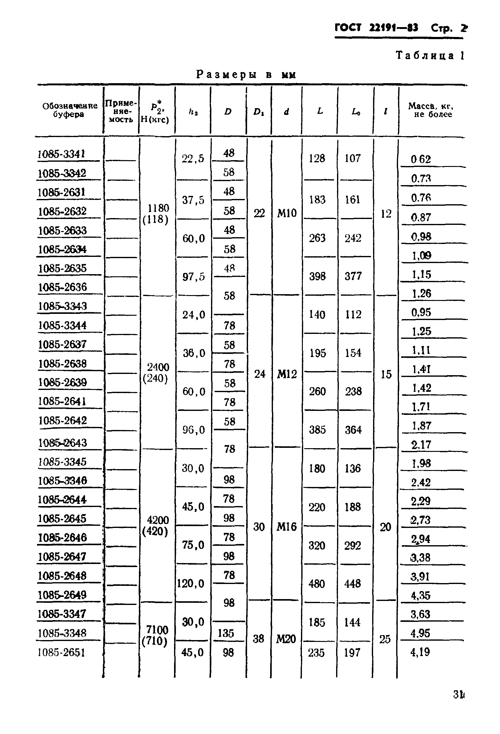
Буфера с резиновыми пружинами для штампов листовой штамповки. Конструкция и размеры| Обозначение: | ГОСТ 22191-83 | | Обозначение англ: | GOST 22191-83 | | Статус: | действует | | Название рус.: | Буфера с резиновыми пружинами для штампов листовой штамповки. Конструкция и размеры | | Название англ.: | Rubber spring buffers for sheet stamping dies. Design and dimensions | | Дата добавления в базу: | 01.09.2013 | | Дата актуализации: | 01.01.2021 | | Дата введения: | 01.01.1984 | | Оглавление: | Приложение 1 Графики зависимости усилий (Р, кгс) резиновых пружин от деформации нагружения (F, мм) при твердости резины 62 по Шору А Приложение 2 Поправочные коэффициенты усилий в зависимости от твердости резины | | Утверждён: | 25.01.1983 Госстандарт СССР (USSR Gosstandart 363)
|
         
|