Скачать ГОСТ 22318-77 Арматура переходов печатных плат. Типы, конструкция и размеры, технические требованияДата актуализации: 01.01.2021
|
| Обозначение: | ГОСТ 22318-77 |
| Обозначение англ: | GOST 22318-77 |
| Статус: | действует |
| Название рус.: | Арматура переходов печатных плат. Типы, конструкция и размеры, технические требования |
| Название англ.: | Printed circuit junction wires. Types. Construction and dimensions. Technical requirements |
| Дата добавления в базу: | 01.09.2013 |
| Дата актуализации: | 01.01.2021 |
| Дата введения: | 01.07.1978 |
| Область применения: | Стандарт распространяется на арматуру переходов, предназначенную для электрического соединения проводников в печатных платах. Стандарт устанавливает типы арматуры, конструкцию. Размеры и технические требования. |
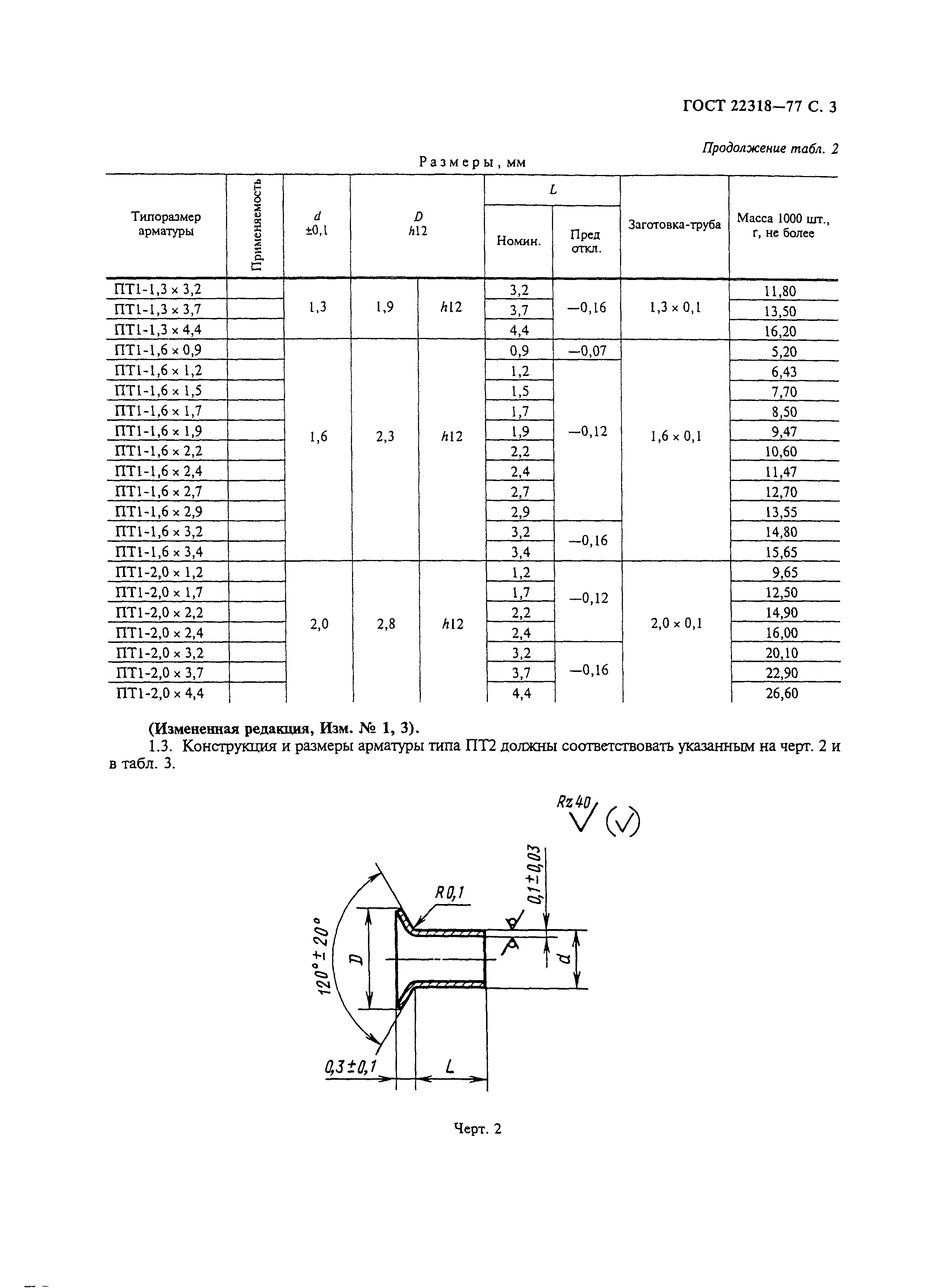
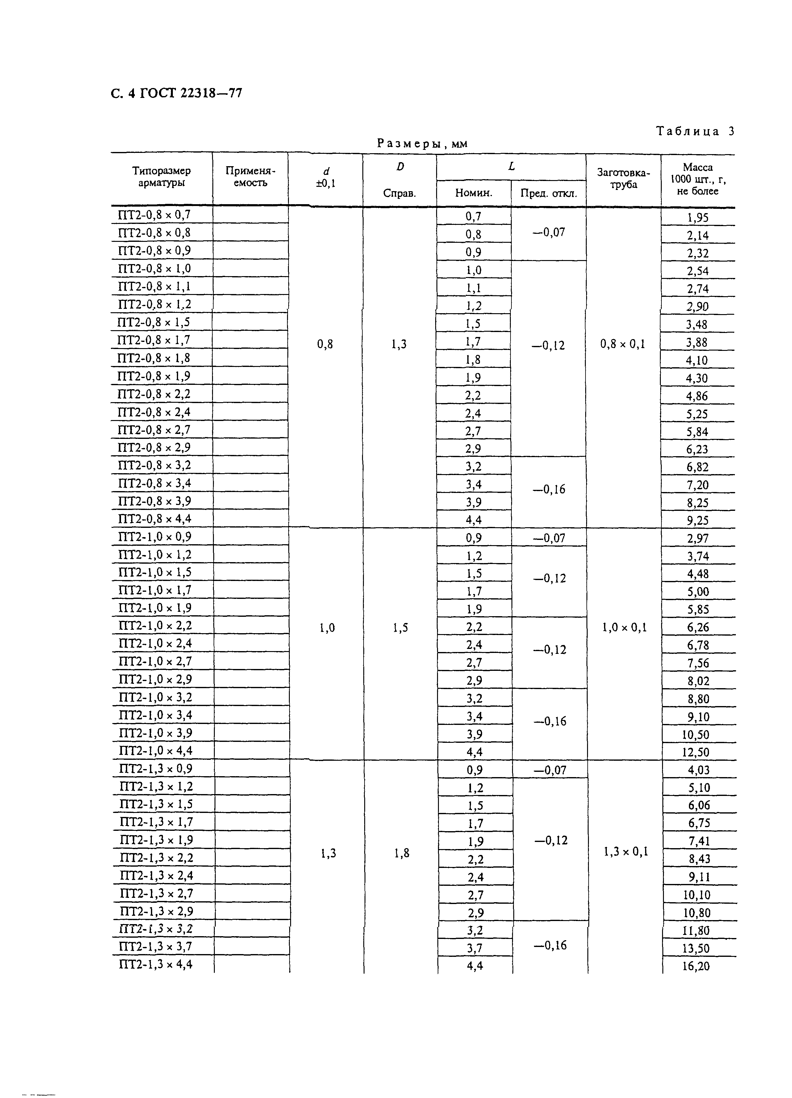
| Оглавление: | 1 Типы, конструкция и размеры 2 Технические требования Пиложение Примеры установки и арматуры переходов в платы |
| Разработан: | Министерство общего машиностроения |
| Утверждён: | 24.01.1977 Госстандарт СССР (USSR Gosstandart 161) |
| Издан: | Издательство стандартов (1977 г. ) ИПК Издательство стандартов (2000 г. ) |
| Нормативные ссылки: |










