Скачать ГОСТ 2248-80 Плашки резьбонакатные плоские. Технические условияДата актуализации: 01.01.2021 ГОСТ 2248-80
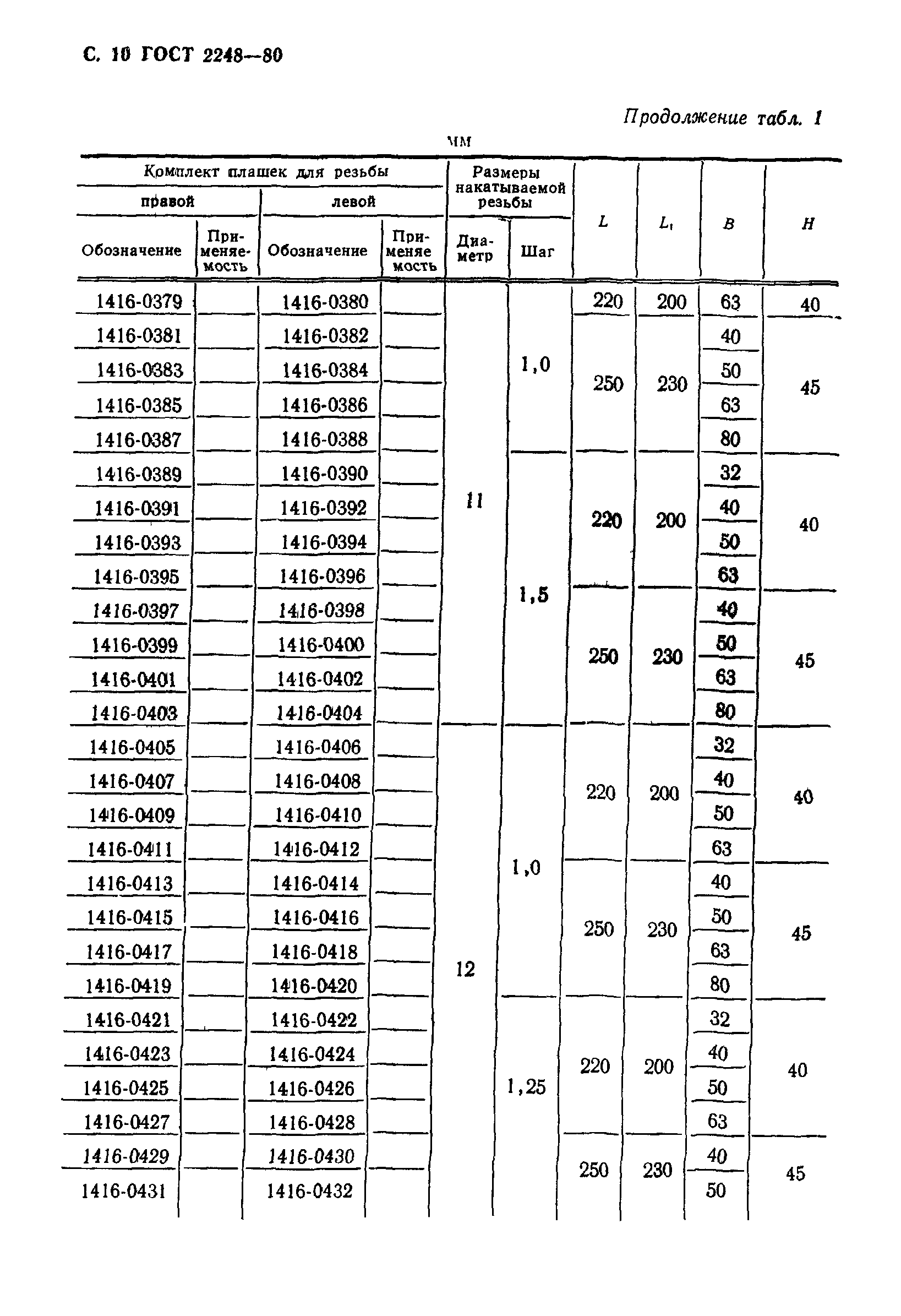
Плашки резьбонакатные плоские. Технические условия| Обозначение: | ГОСТ 2248-80 | | Обозначение англ: | GOST 2248-80 | | Статус: | взамен | | Название рус.: | Плашки резьбонакатные плоские. Технические условия | | Название англ.: | Flat thread-rolling dies | | Дата добавления в базу: | 01.09.2013 | | Дата актуализации: | 01.01.2021 | | Дата введения: | 01.01.1981 | | Область применения: | Стандарт распространяется на резьбонакатные плоские плашки для изготовления метрических резьб диаметром от 1,6 до 27 мм с шагом от 0,2 до 3 мм в изделиях из конструкционных сталей. | | Оглавление: | 1 Основные размеры 2 Технические требования 3 Правила приемки 4 Методы контроля 5 Маркировка, упаковка, транспортирование и хранение Приложение 1 (рекомендуемое) Конструктивные размеры и геометрические параметры плашек | | Разработан: | Министерство станкостроительной и инструментальной промышленности СССР
| | Утверждён: | 25.01.1980 Государственный комитет СССР по стандартам (USSR National Committee on Standards 355)
| | Издан: | Издательство стандартов (1987 г. )
| | Список изменений: | | | Заменяет собой: | ГОСТ 2248-69 «Плашки резьбонакатные плоские» | | Нормативные ссылки: |   ГОСТ 1050-88 «Прокат сортовой, калиброванный, со специальной отделкой поверхности из углеродистой качественной конструкционной стали. Общие технические условия»  ГОСТ 9.014-78 «Единая система защиты от коррозии и старения. Временная противокоррозионная защита изделий. Общие требования»  ГОСТ 2789-73 «Шероховатость поверхности. Параметры и характеристики»  ГОСТ 16093-81 «Основные нормы взаимозаменяемости. Резьба метрическая. Допуски. Посадки с зазором»  ГОСТ 10702-78 «Прокат из качественной конструкционной углеродистой и легированной стали для холодного выдавливания и высадки. Технические условия»  ГОСТ 1759.2-82 «Болты, винты и шпильки. Дефекты поверхности и методы контроля» ГОСТ 18088-83 «Инструмент металлорежущий, алмазный, дереворежущий, слесарно-монтажный и вспомогательный. Упаковка, маркировка, транспортирование и хранение» ГОСТ 23726-79 «Инструмент металлорежущий и дереворежущий. Приемка» ГОСТ 25706-83 «Лупы. Типы, основные параметры. Общие технические требования» ГОСТ 5950-73 «Прутки и полосы из инструментальной легированной стали. Технические условия»  ГОСТ 8.051-81 «Государственная система обеспечения единства измерений. Погрешности, допускаемые при измерении линейных размеров до 500 мм»  ГОСТ 9013-59 «Металлы. Метод измерения твердости по Роквеллу»
|
                                   
Текстовое изменение Поправка
|