Скачать ГОСТ 22843-77 Втулки разрезные для инструмента с цилиндрическим хвостовиком. Конструкция и размеры

Дата актуализации: 01.01.2021

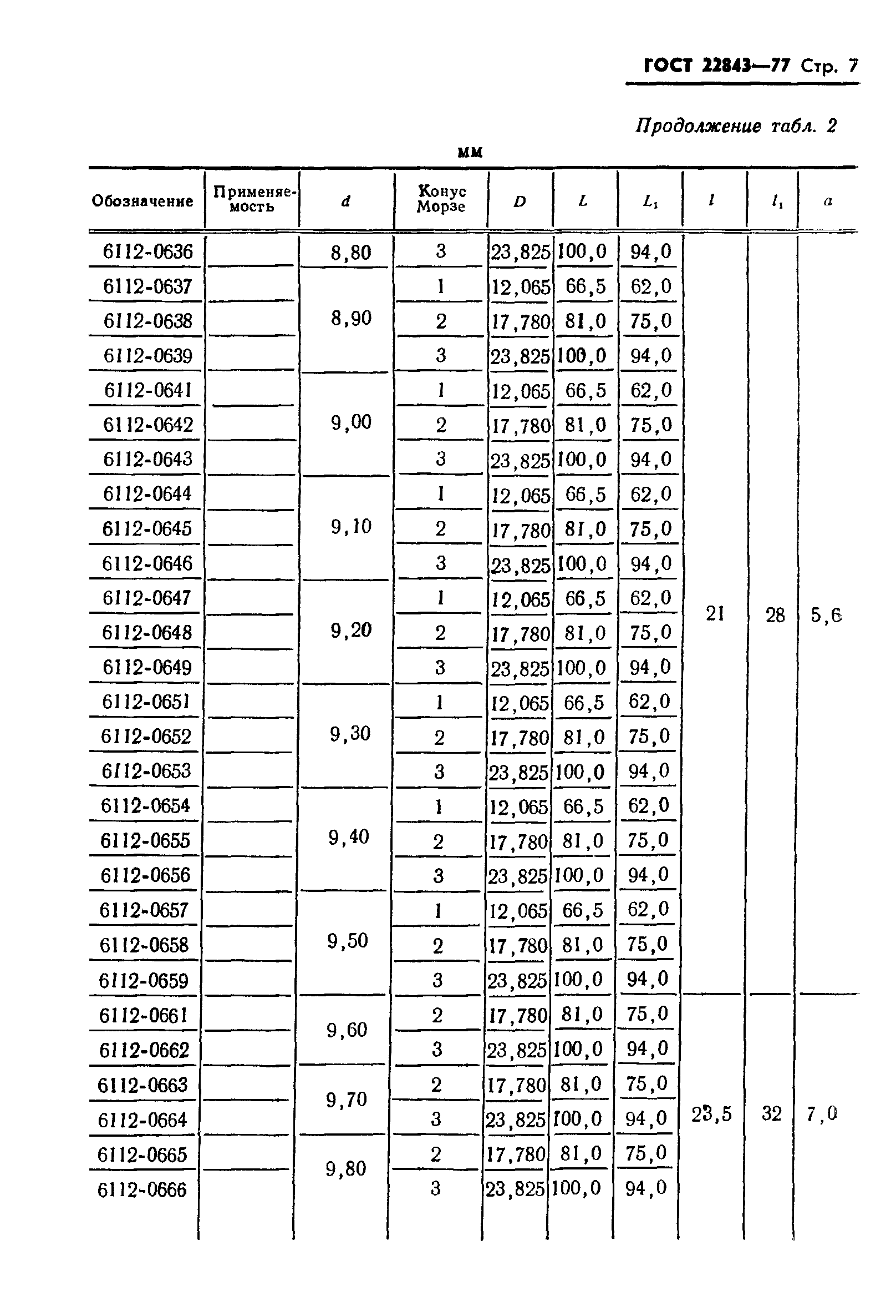
ГОСТ 22843-77

Втулки разрезные для инструмента с цилиндрическим хвостовиком. Конструкция и размеры

Обозначение: ГОСТ 22843-77
Обозначение англ: GOST 22843-77
Статус:взамен
Название рус.:Втулки разрезные для инструмента с цилиндрическим хвостовиком. Конструкция и размеры
Название англ.:Cutting sleeves for tools with cylindrical sank. Design and dimensions
Дата добавления в базу:01.09.2013
Дата актуализации:01.01.2021
Дата введения:01.01.1979
Область применения:Стандарт распространяется на разрезные втулки для инструмента с цилиндрическим хвостовиком без поводка диаметром от 1 до 3 мм и с поводком диаметром свыше 3 мм.
Оглавление:Приложение Конструктивные размеры втулок
Разработан: ВНИИНМАШ
Утверждён:06.12.1977 Государственный комитет стандартов Совета Министров СССР (USSR National Committee on Standards at the Cabinet of Ministers 2813)
Издан: Издательство стандартов (1978 г. )
Список изменений:
Заменяет собой:
  • МН 1172-65 «Втулки разрезные для инструмента с цилиндрическим хвостовиком и поводком диаметром от 1 до 13 мм» (Сведения из перечня "Указатель государственных стандартов СССР 1980 г.", Издательство стандартов 1980)
ГОСТ 22843-77ГОСТ 22843-77ГОСТ 22843-77ГОСТ 22843-77ГОСТ 22843-77ГОСТ 22843-77ГОСТ 22843-77ГОСТ 22843-77ГОСТ 22843-77ГОСТ 22843-77ГОСТ 22843-77ГОСТ 22843-77ГОСТ 22843-77ГОСТ 22843-77ГОСТ 22843-77ГОСТ 22843-77ГОСТ 22843-77ГОСТ 22843-77

Текстовое изменение № 1 от 01.05.1983

№ 1№ 1