Скачать ГОСТ 2330-76 Волоки-заготовки из твердых спеченных сплавов для волочения труб круглого сечения. Формы и размеры. Технические условияДата актуализации: 01.01.2021
|
| Обозначение: | ГОСТ 2330-76 |
| Обозначение англ: | GOST 2330-76 |
| Статус: | взамен |
| Название рус.: | Волоки-заготовки из твердых спеченных сплавов для волочения труб круглого сечения. Формы и размеры. Технические условия |
| Название англ.: | Die blanks of sintered hardmetals for drawing round tubes. Shapes and dimensions. Specifications |
| Дата добавления в базу: | 01.09.2013 |
| Дата актуализации: | 01.01.2021 |
| Дата введения: | 01.01.1978 |
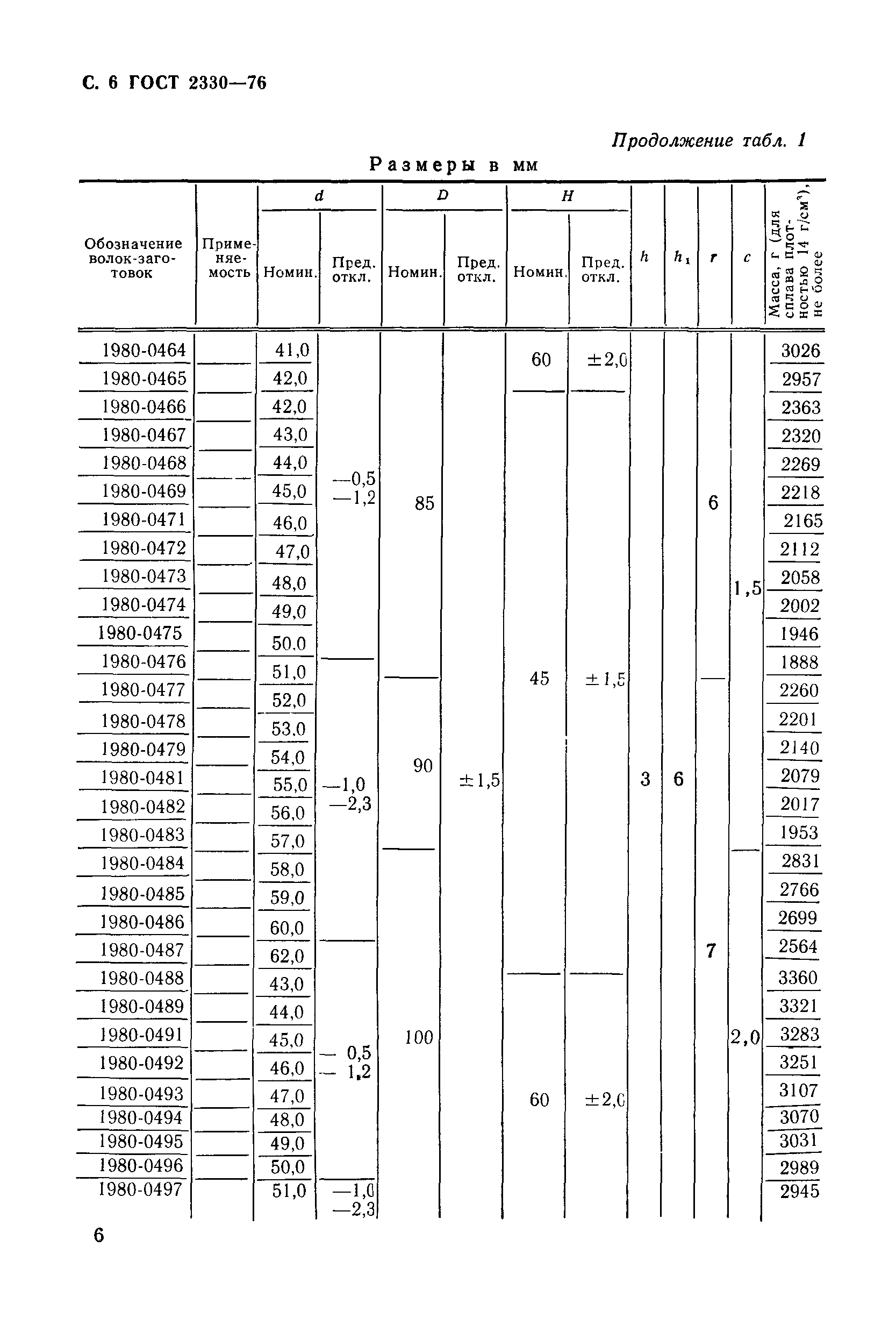
| Оглавление: | 1 Формы и размеры 2 Технические требования 3 Правила приемки 4 Методы испытаний и контроля 5 Маркировка, упаковка, транспортирование и хранение |
| Утверждён: | 05.02.1976 Госстандарт СССР (USSR Gosstandart 343) |
| Издан: | Издательство стандартов (1988 г. ) |
| Заменяет собой: |
|
| Нормативные ссылки: |
|












