Скачать ГОСТ 24069-97 Основные нормы взаимозаменяемости. Тангенциальные шпонки и шпоночные пазыДата актуализации: 01.01.2021
|
| Обозначение: | ГОСТ 24069-97 |
| Обозначение англ: | GOST 24069-97 |
| Статус: | взамен |
| Название рус.: | Основные нормы взаимозаменяемости. Тангенциальные шпонки и шпоночные пазы |
| Название англ.: | Basic norms of interchangeability. Tangential keys and keyways |
| Дата добавления в базу: | 01.09.2013 |
| Дата актуализации: | 01.01.2021 |
| Дата введения: | 01.07.2000 |
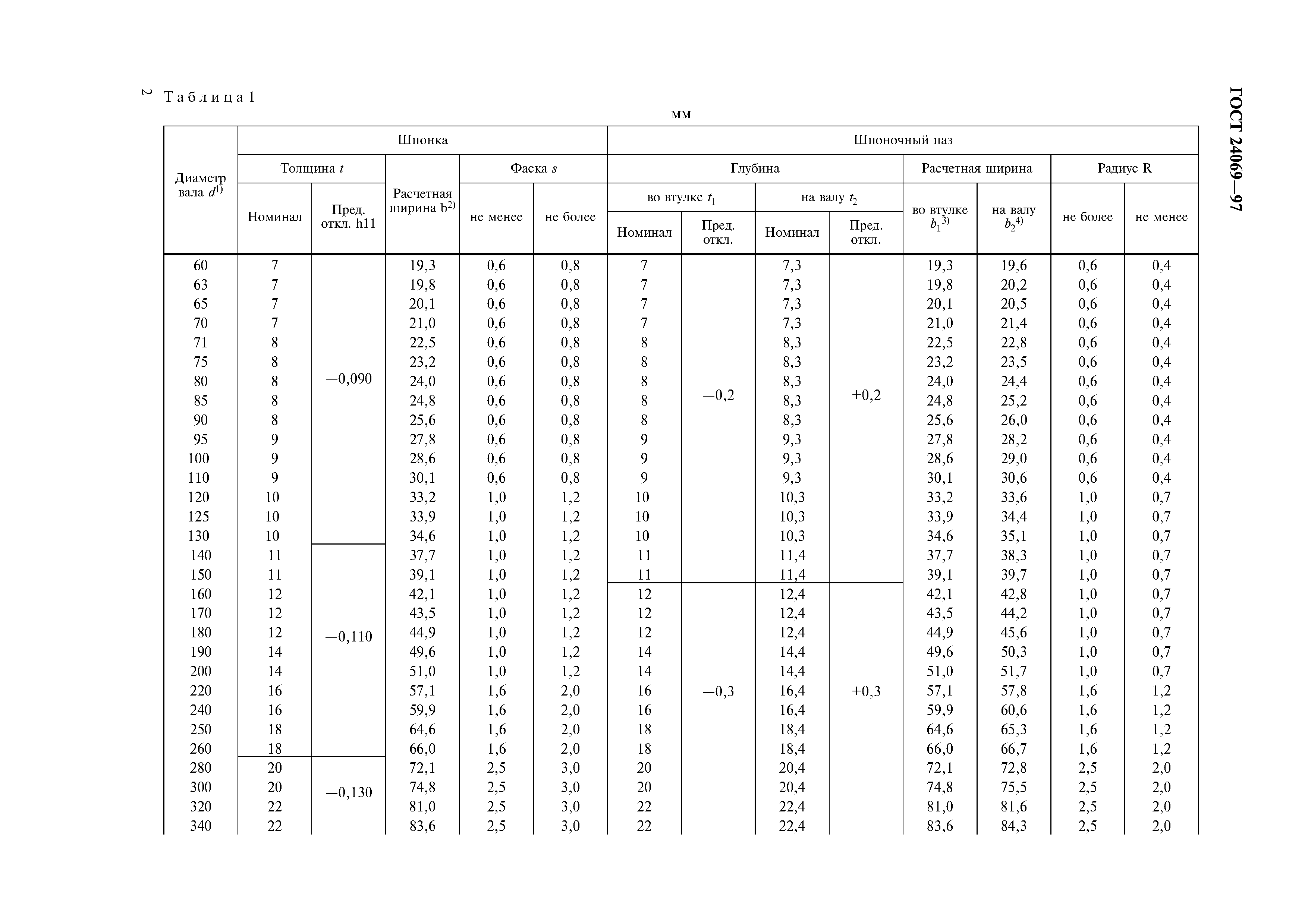
| Область применения: | Стандарт устанавливает размеры и предельные отклонения размеров тангенциальных шпонок и соответствующих им шпоночных пазов на валу и во втулке, а также зависимость между диаметром вала и сечением шпонки. |
| Оглавление: | 1 Назначение 2 Область применения 3 Размеры и допуски шпонок и шпоночных пазов 4 Материал 5 Обозначение Приложение А (обязательное) Дополнительные требования, отражающие потребности экономики страны Приложение Б (справочное) Зависимость параметров шероховатости поверхности от допусков размера |
| Разработан: | ТК 258 Зубчатые передачи и конструктивные элементы деталей машин |
| Утверждён: | 17.11.1999 Государственный комитет Российской Федерации по стандартизации и метрологии (Russian Federation National Committee for Standardization and Metrology 408-ст) 21.11.1997 Межгосударственный Совет по стандартизации, метрологии и сертификации (Inter-Governmental Council on Standardization, Metrology, and Certification 12-97) |
| Издан: | ИПК Издательство стандартов (2000 г. ) ИПК Издательство стандартов (2003 г. ) |
| Заменяет собой: | |
| Нормативные ссылки: |







