Скачать ГОСТ 24270-80 Втулки направляющие съемных и кассетных пресс-форм для изготовления резинотехнических изделий. Конструкция и размерыДата актуализации: 01.01.2021 ГОСТ 24270-80
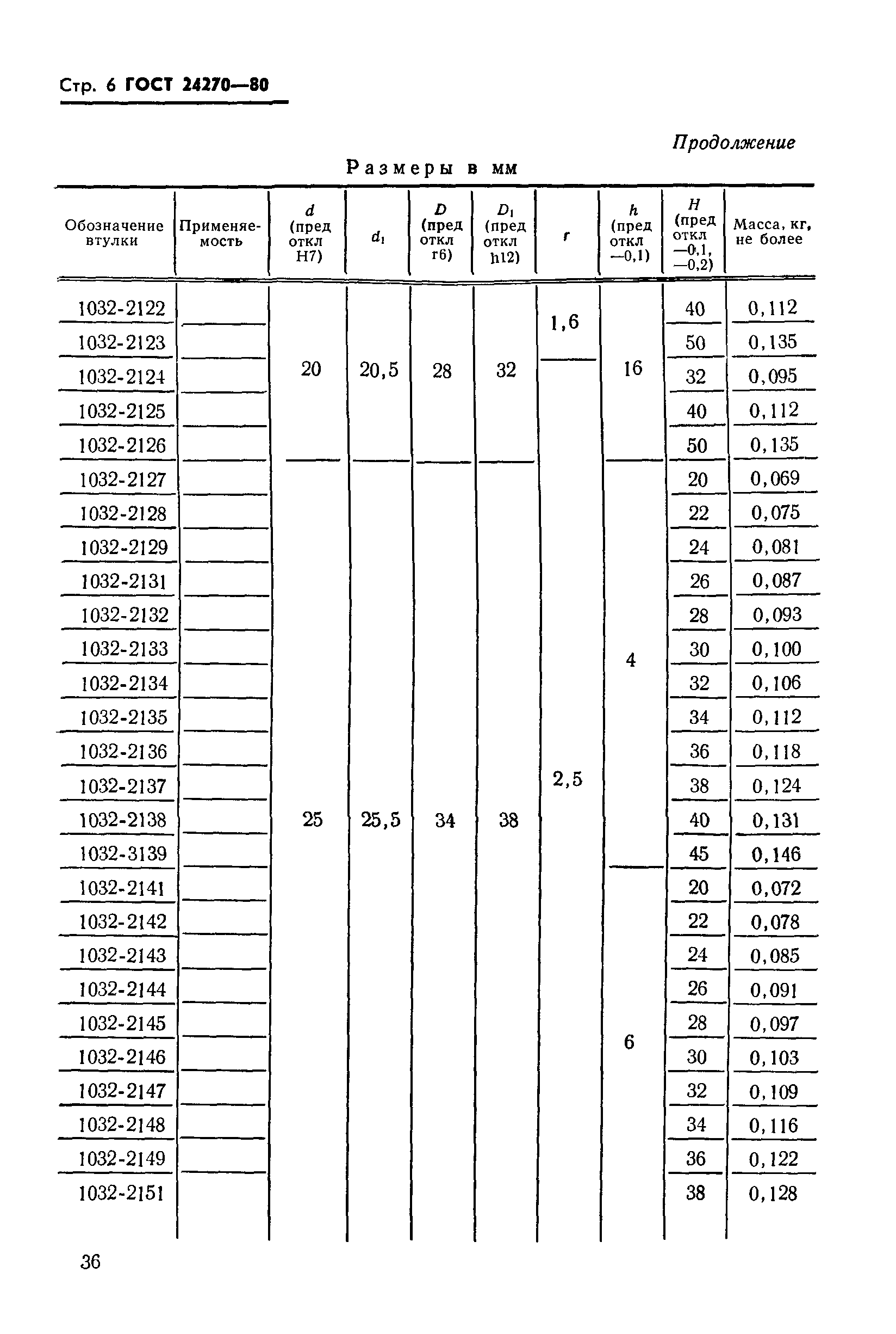
Втулки направляющие съемных и кассетных пресс-форм для изготовления резинотехнических изделий. Конструкция и размеры| Обозначение: | ГОСТ 24270-80 | | Обозначение англ: | GOST 24270-80 | | Статус: | действует | | Название рус.: | Втулки направляющие съемных и кассетных пресс-форм для изготовления резинотехнических изделий. Конструкция и размеры | | Название англ.: | Guide bushings of portable and bar press moulds for manufacturing of industrial rubber articles. Design and dimensions | | Дата добавления в базу: | 01.09.2013 | | Дата актуализации: | 01.01.2021 | | Дата введения: | 01.01.1981 | | Утверждён: | 24.06.1980 Госстандарт СССР (USSR Gosstandart 3018)
|
      
|