Скачать ГОСТ 24273-80 Петли к шарнирам с роликом на кассетные пресс-формы для изготовления резинотехнических изделий. Конструкция и размерыДата актуализации: 01.01.2021 ГОСТ 24273-80
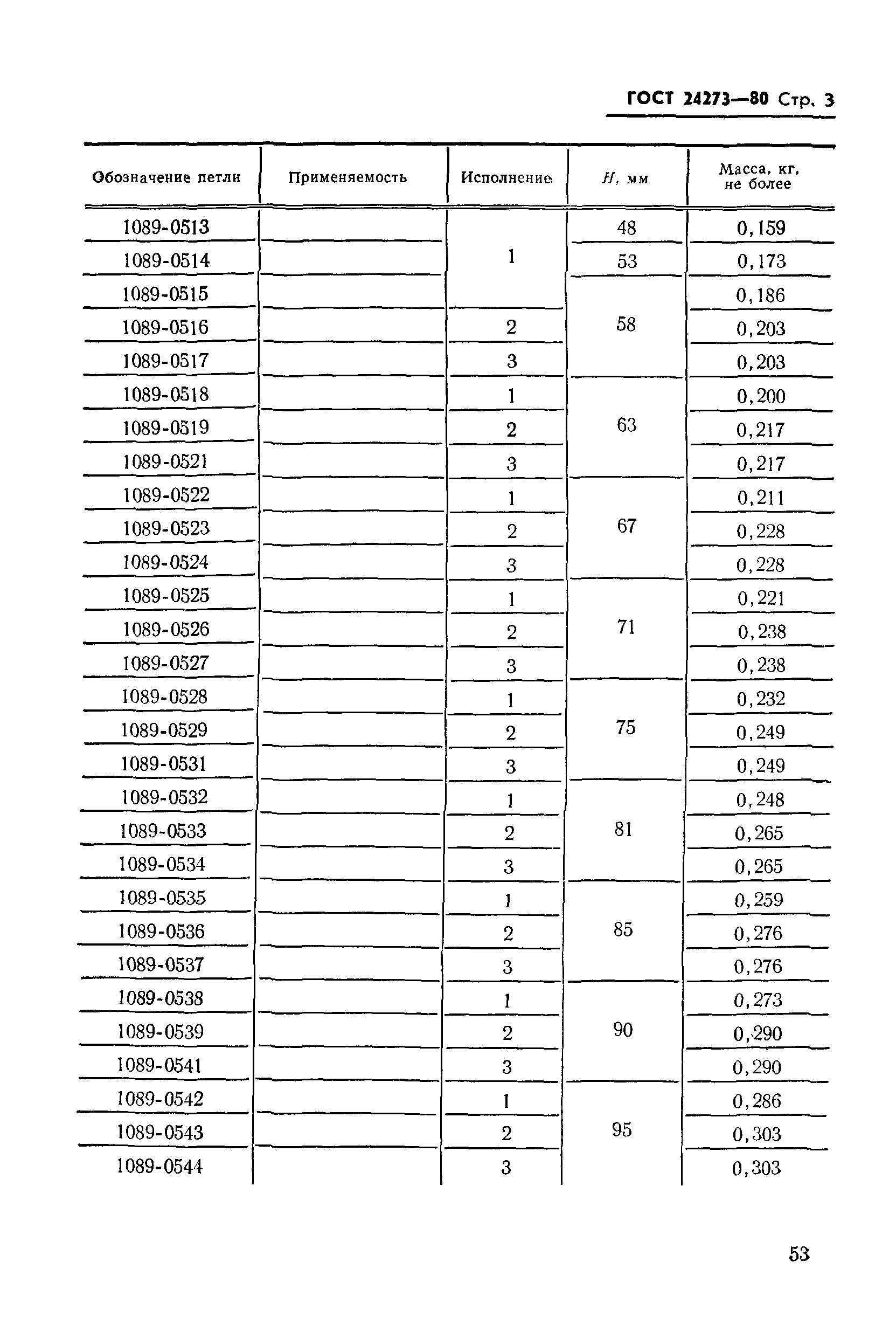
Петли к шарнирам с роликом на кассетные пресс-формы для изготовления резинотехнических изделий. Конструкция и размеры| Обозначение: | ГОСТ 24273-80 | | Обозначение англ: | GOST 24273-80 | | Статус: | действует | | Название рус.: | Петли к шарнирам с роликом на кассетные пресс-формы для изготовления резинотехнических изделий. Конструкция и размеры | | Название англ.: | Hinges for roll joints of bar press moulds for manufacturing of industrial rubber articles. Design and dimensions | | Дата добавления в базу: | 01.09.2013 | | Дата актуализации: | 01.01.2021 | | Дата введения: | 01.01.1981 | | Утверждён: | 24.06.1980 Госстандарт СССР (USSR Gosstandart 3018)
|
    
|