Скачать ГОСТ 24401-80 Брусья для пресс-форм. Конструкция и размеры

Дата актуализации: 01.01.2021

ГОСТ 24401-80

Брусья для пресс-форм. Конструкция и размеры

Обозначение: ГОСТ 24401-80
Обозначение англ: GOST 24401-80
Статус:действует
Название рус.:Брусья для пресс-форм. Конструкция и размеры
Название англ.:Casting die beams. Construction and dimensions
Дата добавления в базу:01.09.2013
Дата актуализации:01.01.2021
Дата введения:01.01.1982
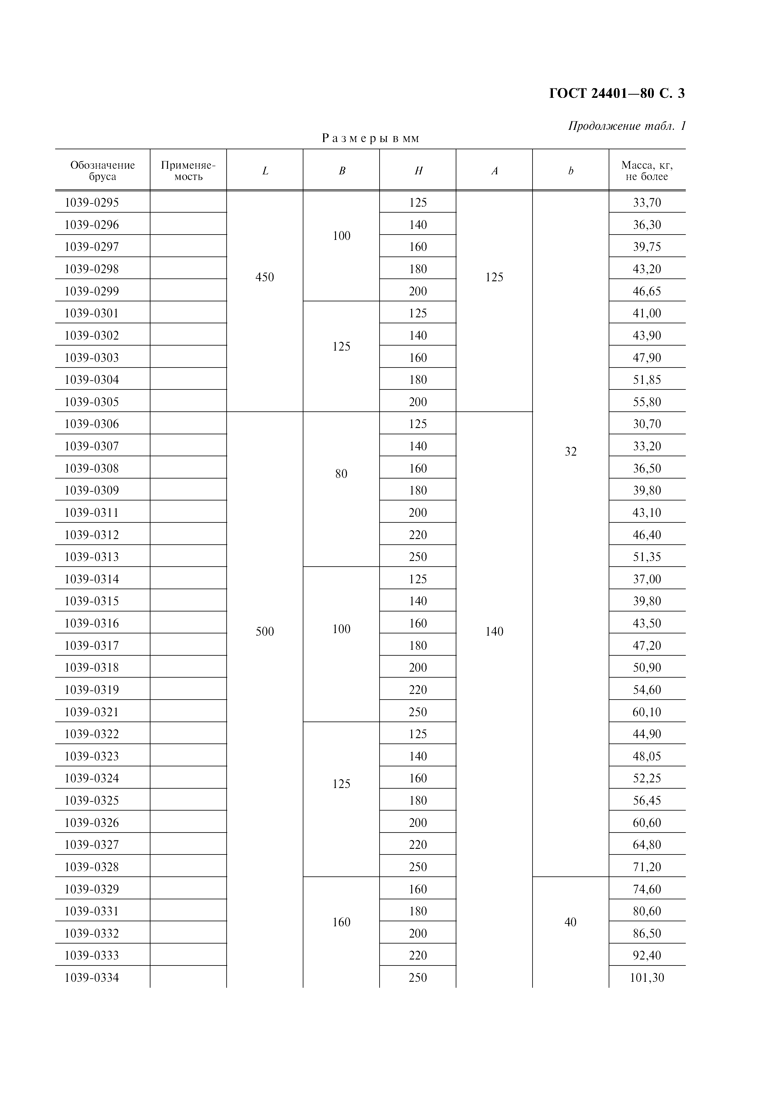
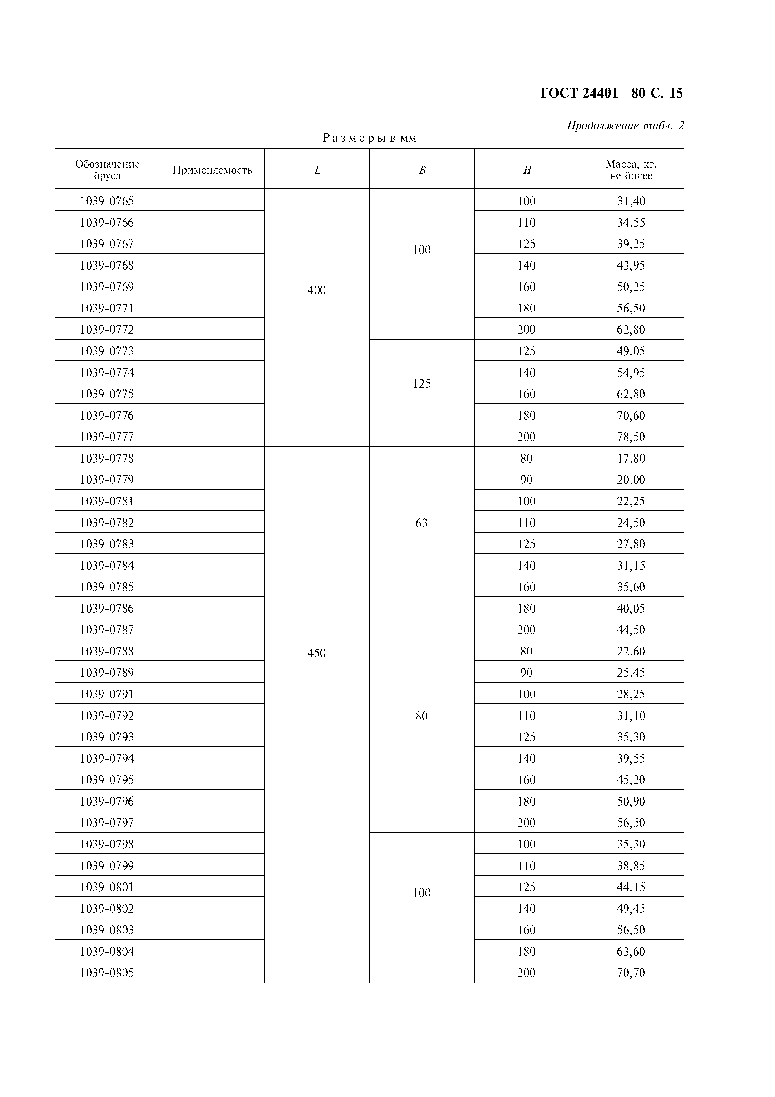
Область применения:Стандарт распространяется на литые брусья и брусья из проката для прессования и литья под давлением в пресс-формах изделий из пластмасс и сплавов цветных металлов.
Оглавление:Приложение Пример применения в пресс-форме брусьев с полем допуска высоты h14
Утверждён:26.09.1980 Госстандарт СССР (USSR Gosstandart 4836)
Издан: Издательство стандартов (1981 г. )
ИПК Издательство стандартов (2004 г. )
ГОСТ 24401-80ГОСТ 24401-80ГОСТ 24401-80ГОСТ 24401-80ГОСТ 24401-80ГОСТ 24401-80ГОСТ 24401-80ГОСТ 24401-80ГОСТ 24401-80ГОСТ 24401-80ГОСТ 24401-80ГОСТ 24401-80ГОСТ 24401-80ГОСТ 24401-80ГОСТ 24401-80ГОСТ 24401-80ГОСТ 24401-80ГОСТ 24401-80ГОСТ 24401-80ГОСТ 24401-80ГОСТ 24401-80ГОСТ 24401-80ГОСТ 24401-80