Скачать ГОСТ 24905-81 Резцы к зуборезным головкам для прямозубых конических колес. Конструкция и размеры

Дата актуализации: 01.01.2021

ГОСТ 24905-81

Резцы к зуборезным головкам для прямозубых конических колес. Конструкция и размеры

Обозначение: ГОСТ 24905-81
Обозначение англ: GOST 24905-81
Статус:действует
Название рус.:Резцы к зуборезным головкам для прямозубых конических колес. Конструкция и размеры
Название англ.:Tools for straight bevel outters. Design and dimension
Дата добавления в базу:01.09.2013
Дата актуализации:01.01.2021
Дата введения:01.01.1983
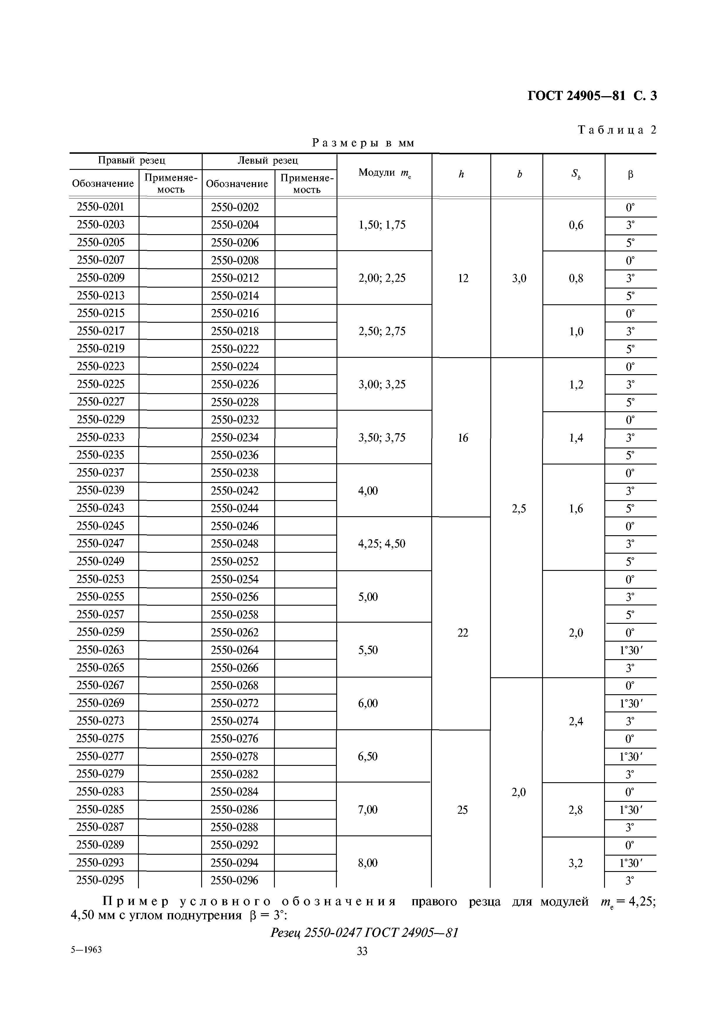
Область применения:Стандарт распространяется на резцы к зуборезным головкам диаметром 150, 278 и 450 мм для прямозубых конических колес.
Оглавление:Приложение Элементы конструкции и геометрические параметры резцов
Утверждён:12.08.1981 Госстандарт СССР (USSR Gosstandart 3812)
Издан: ИПК Издательство стандартов (2003 г. )
ГОСТ 24905-81ГОСТ 24905-81ГОСТ 24905-81ГОСТ 24905-81ГОСТ 24905-81ГОСТ 24905-81ГОСТ 24905-81