Скачать ГОСТ 25109-82 Блоки трехкассетных пресс-форм для изготовления резинотехнических изделий на прессах с размерами греющих плит 400х400 мм. Конструкция и размеры

Дата актуализации: 01.01.2021

ГОСТ 25109-82

Блоки трехкассетных пресс-форм для изготовления резинотехнических изделий на прессах с размерами греющих плит 400х400 мм. Конструкция и размеры

Обозначение: ГОСТ 25109-82
Обозначение англ: GOST 25109-82
Статус:действует
Название рус.:Блоки трехкассетных пресс-форм для изготовления резинотехнических изделий на прессах с размерами греющих плит 400х400 мм. Конструкция и размеры
Название англ.:Blocks of three-casetta press moulds for producing the rubber technical parts on presses with dimensions heating plates 400x400 mm. Design and dimensions
Дата добавления в базу:01.09.2013
Дата актуализации:01.01.2021
Дата введения:01.01.1984
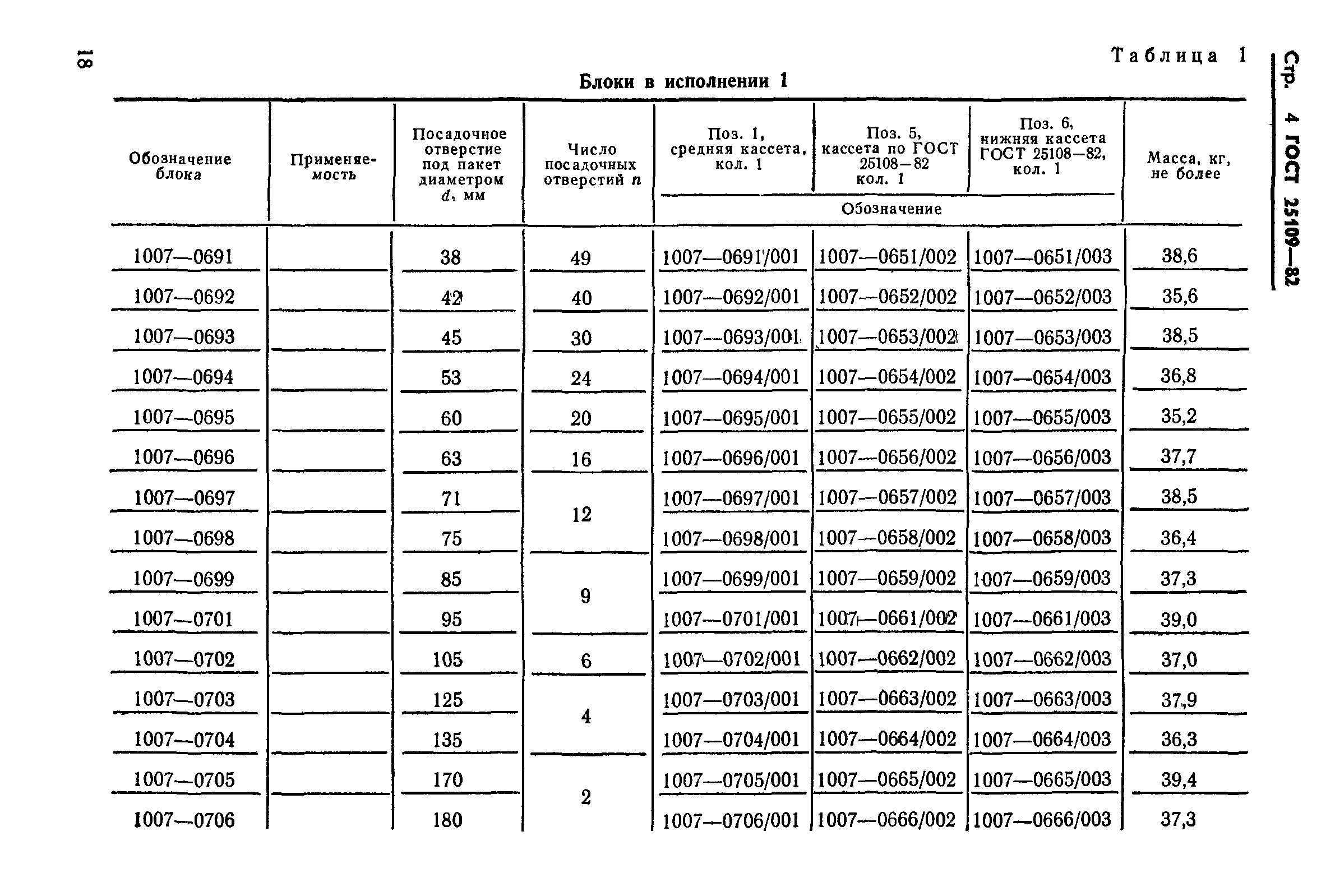
Оглавление:Приложение Примеры крепления пакетов в блоках трехкассетных пресс-форм
Утверждён:28.01.1982 Госстандарт СССР (USSR Gosstandart 351)
ГОСТ 25109-82ГОСТ 25109-82ГОСТ 25109-82ГОСТ 25109-82ГОСТ 25109-82ГОСТ 25109-82ГОСТ 25109-82ГОСТ 25109-82ГОСТ 25109-82ГОСТ 25109-82ГОСТ 25109-82ГОСТ 25109-82ГОСТ 25109-82ГОСТ 25109-82ГОСТ 25109-82ГОСТ 25109-82