Скачать ГОСТ 25158-82 Протяжки для шлицевых отверстий с эвольвентным профилем диаметром от 15 до 9О мм модулем от 1 до 2,5 мм с центрированием по наружному диаметру. Конструкция и размерыДата актуализации: 01.01.2021 ГОСТ 25158-82
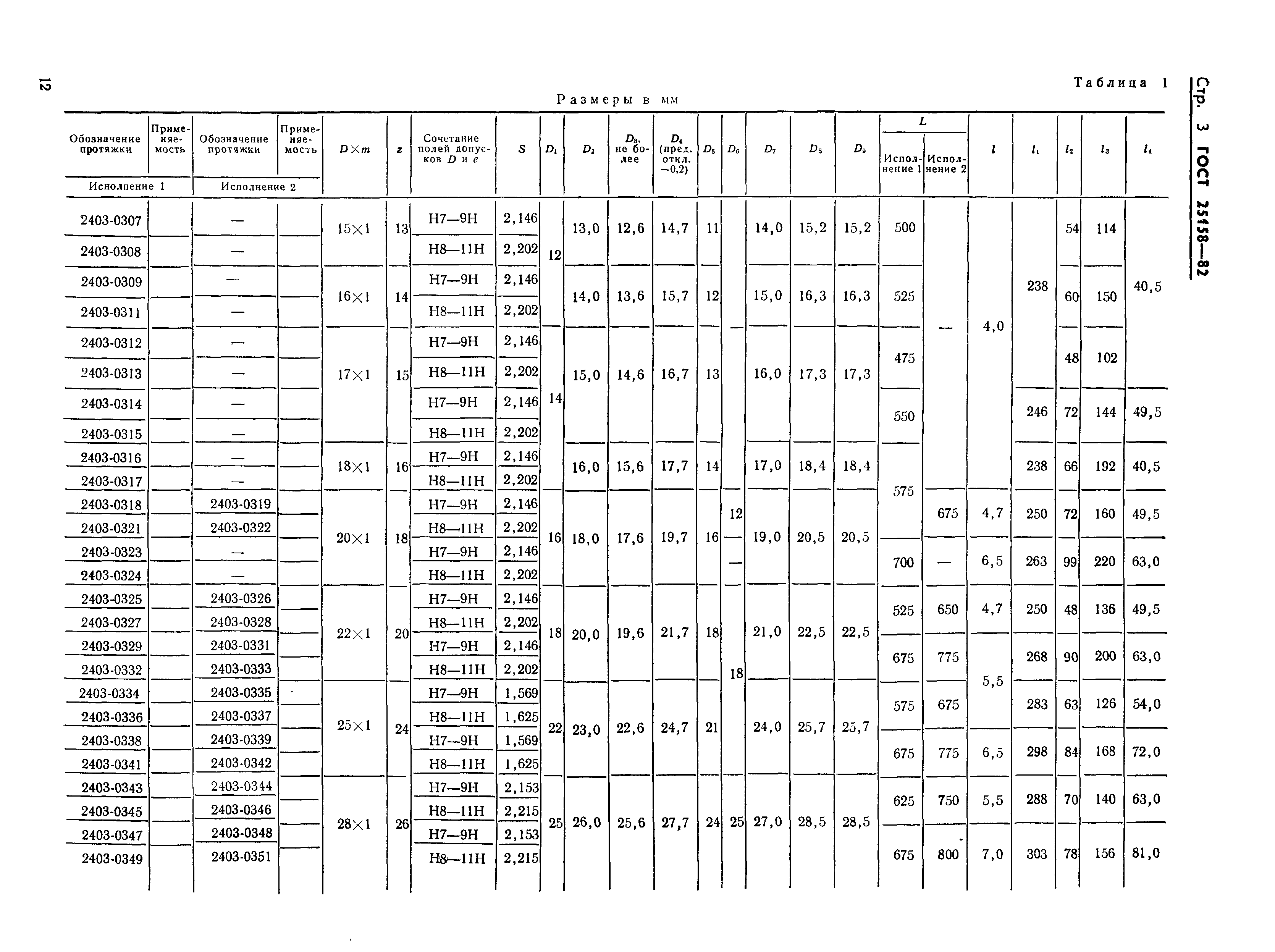
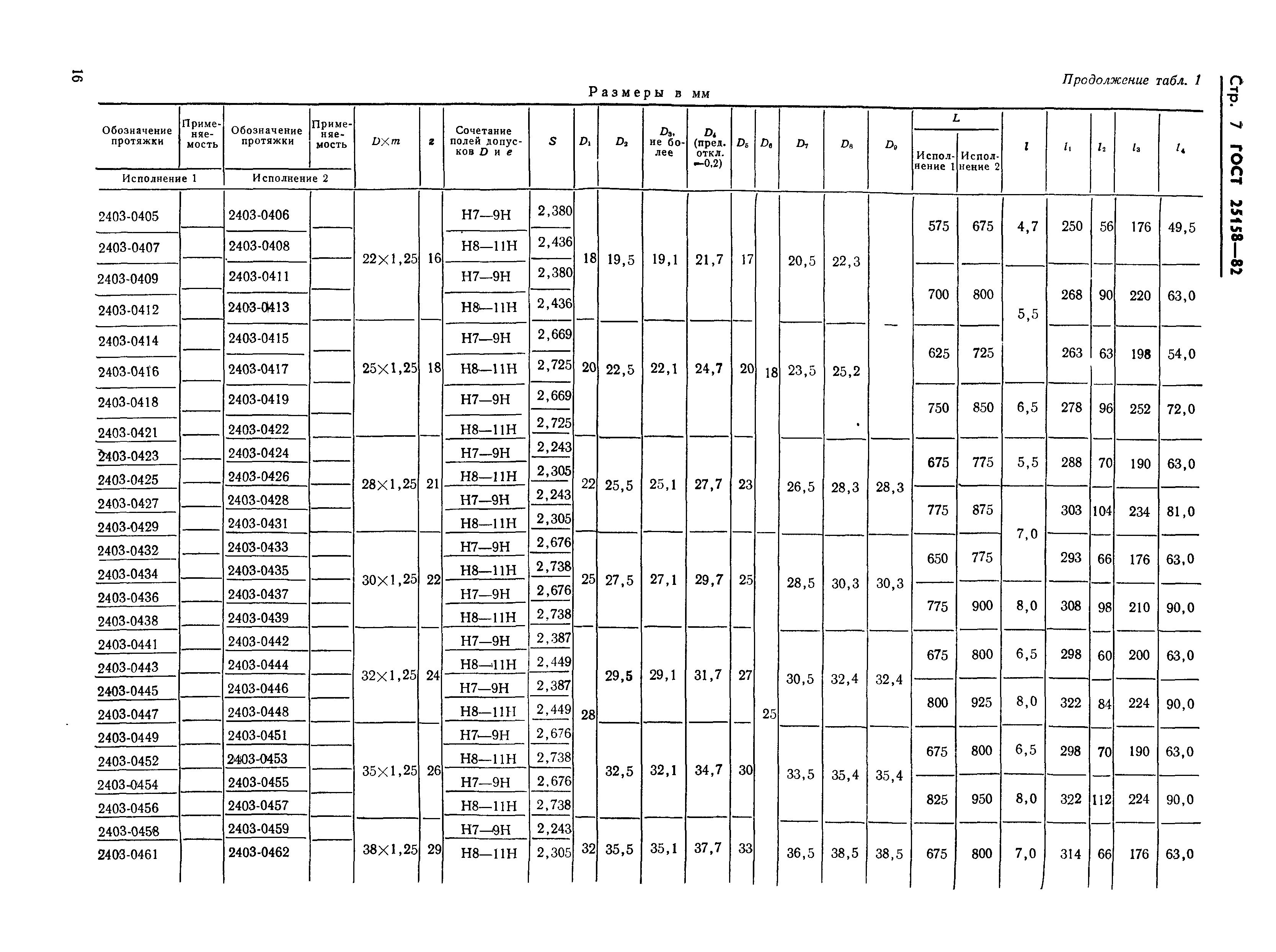
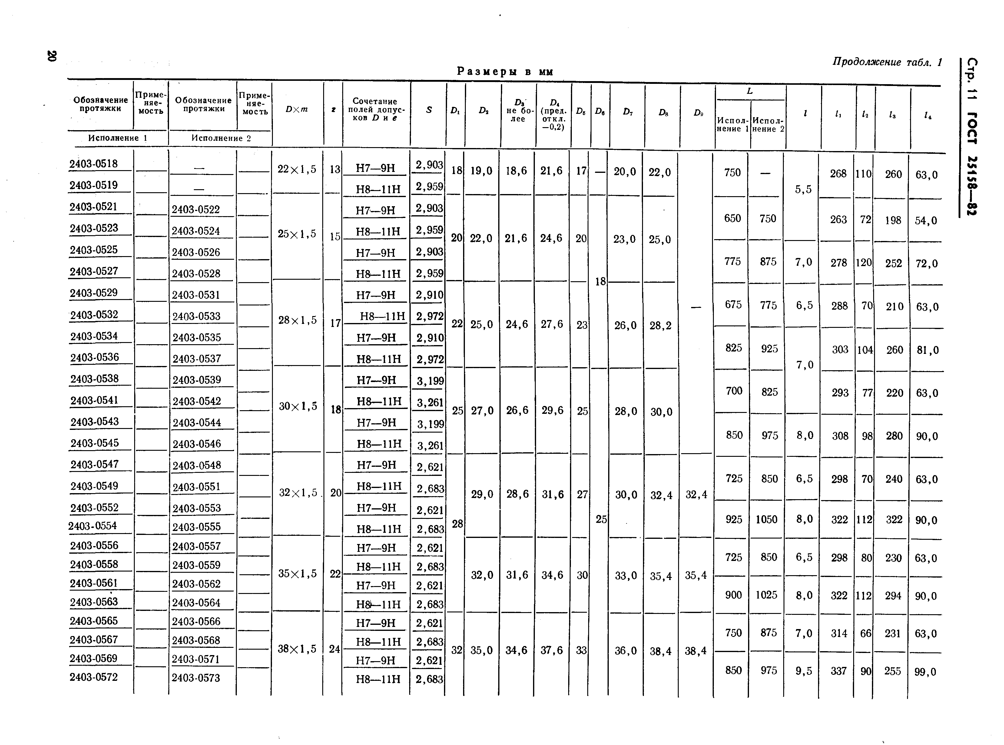
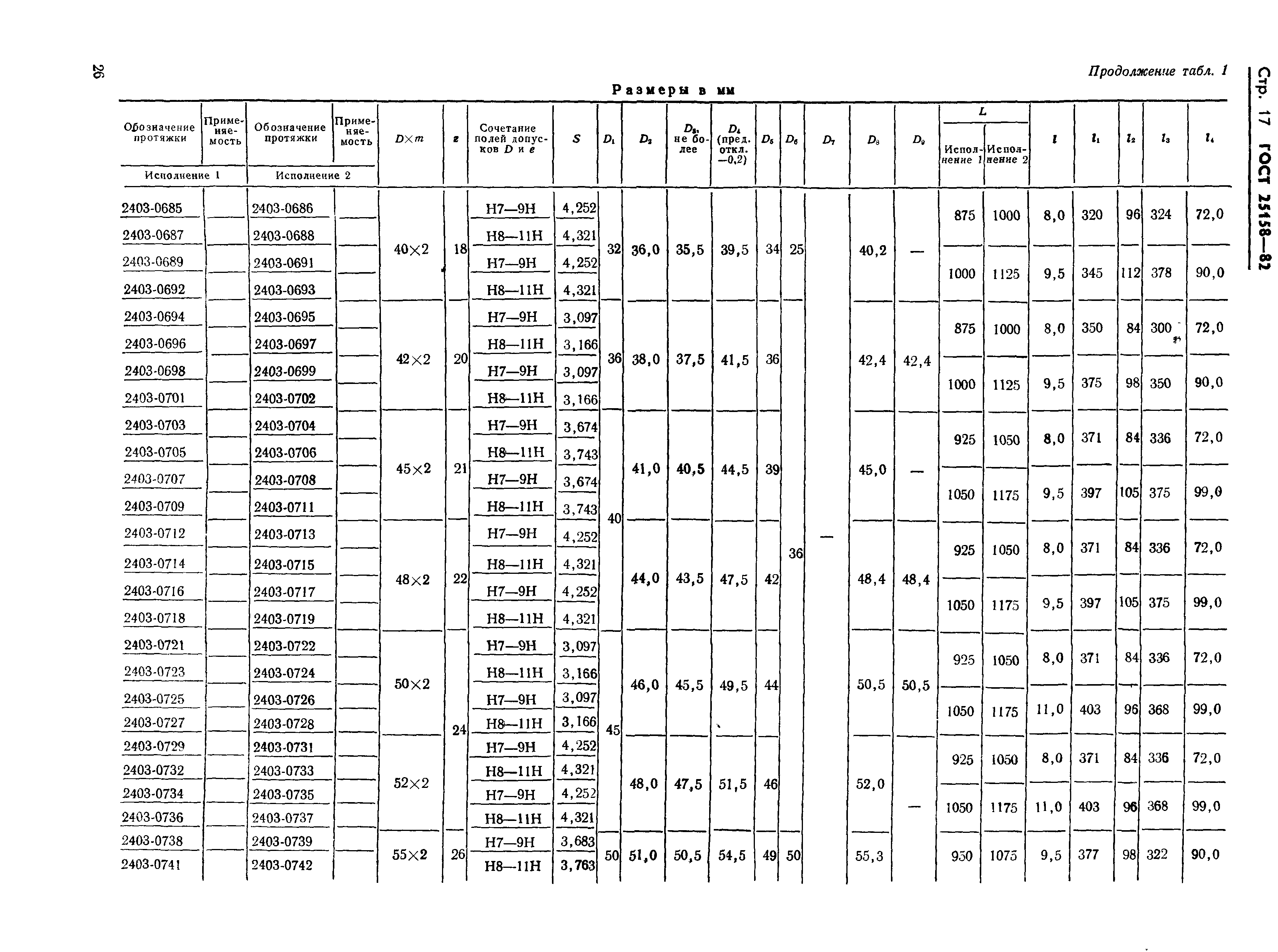
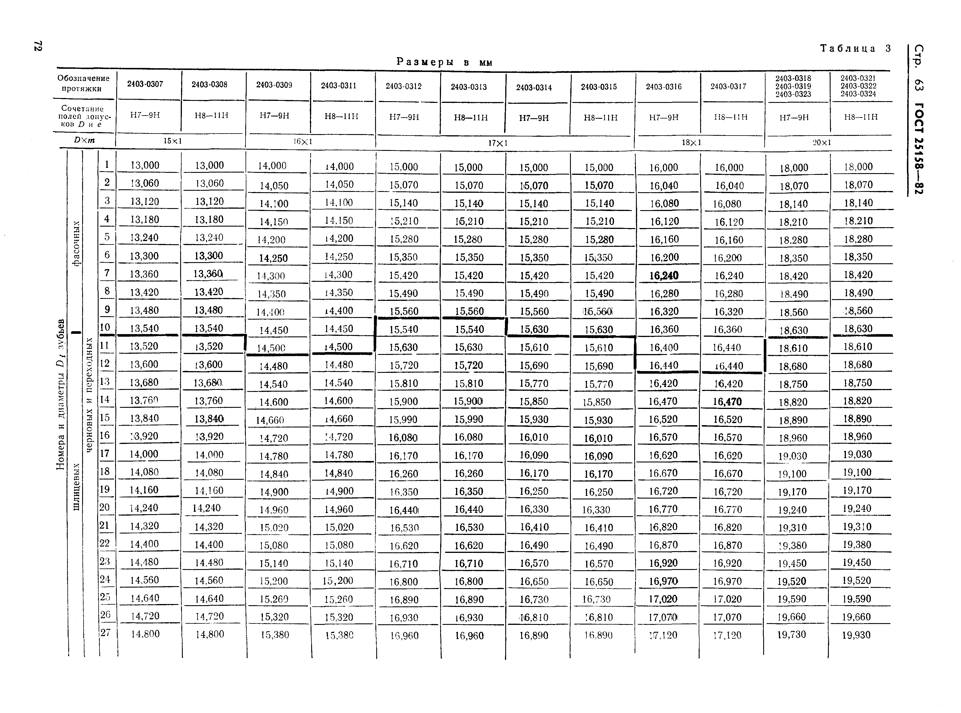
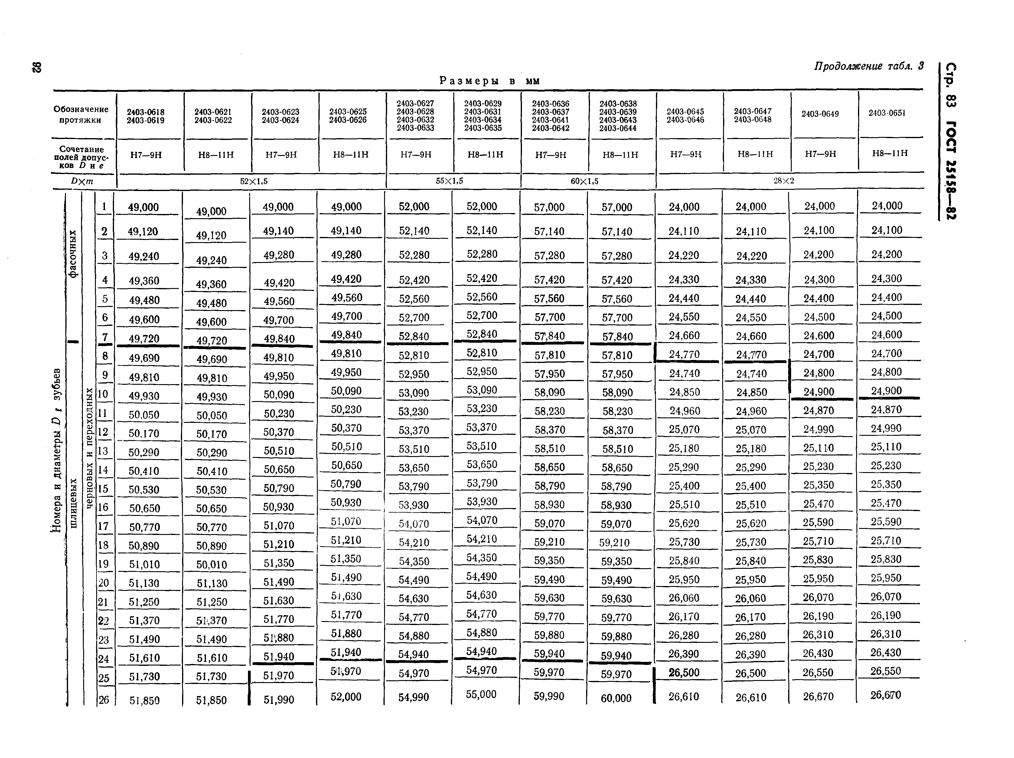
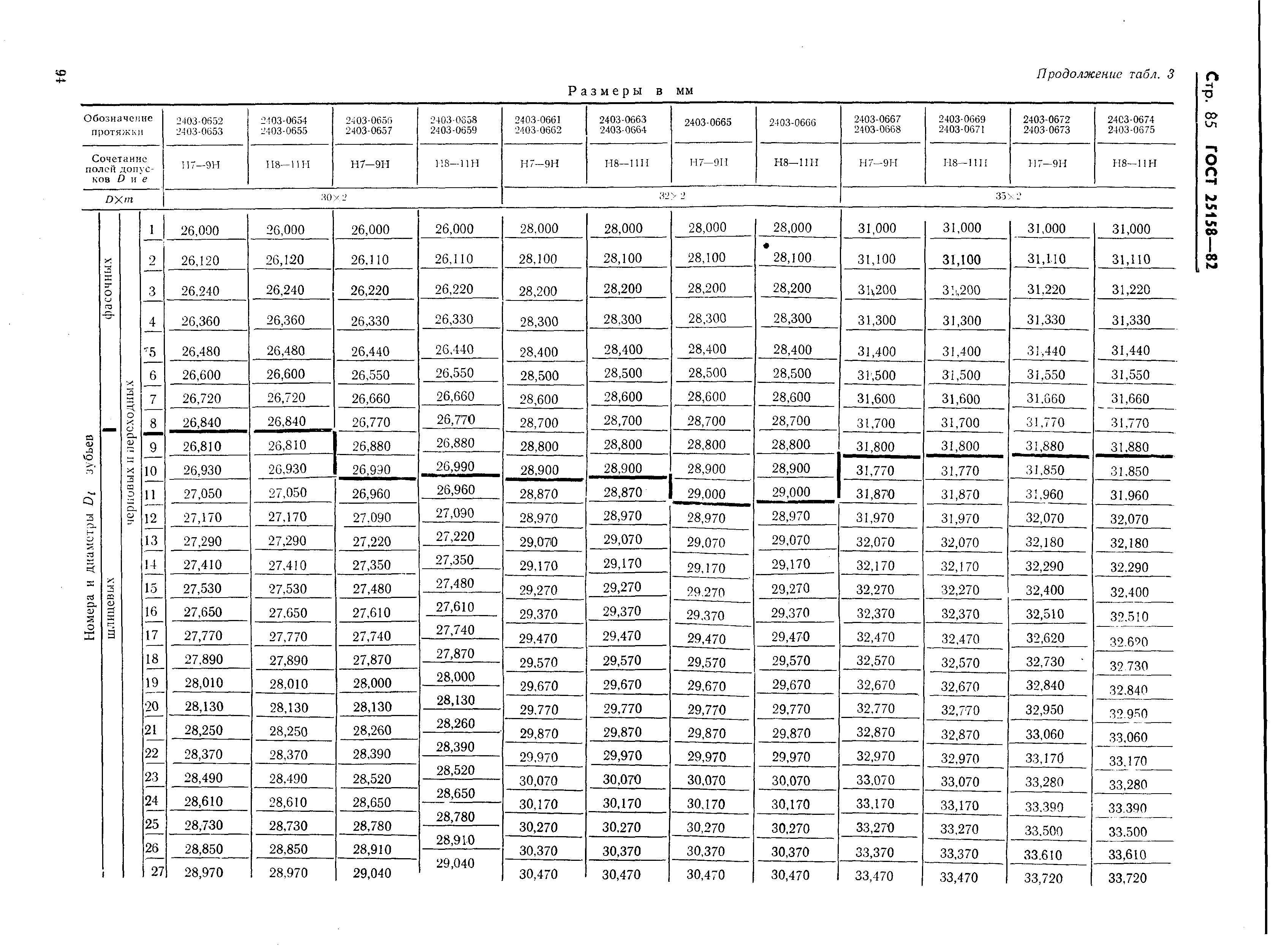
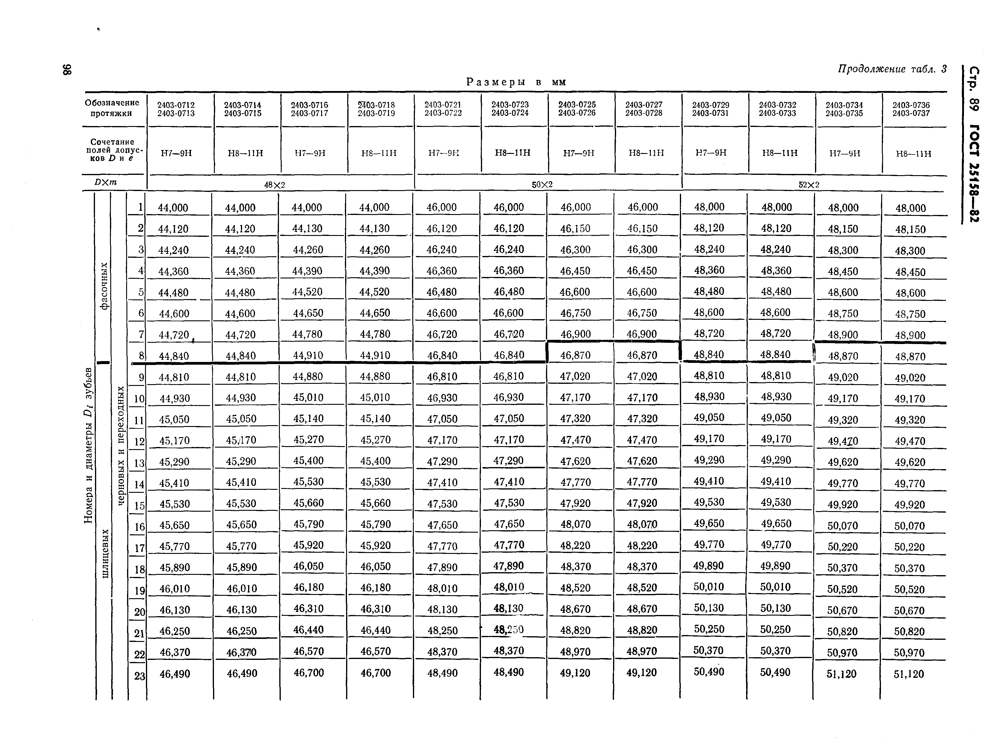
Протяжки для шлицевых отверстий с эвольвентным профилем диаметром от 15 до 9О мм модулем от 1 до 2,5 мм с центрированием по наружному диаметру. Конструкция и размеры| Обозначение: | ГОСТ 25158-82 | | Обозначение англ: | GOST 25158-82 | | Статус: | действует | | Название рус.: | Протяжки для шлицевых отверстий с эвольвентным профилем диаметром от 15 до 9О мм модулем от 1 до 2,5 мм с центрированием по наружному диаметру. Конструкция и размеры | | Название англ.: | Broaches with diameter from 15 to 90 mm for slitting holes with involute profile and centring at outside diameter with modul from 1 to 2,5 mm. Construction and dimensions | | Дата добавления в базу: | 01.09.2013 | | Дата актуализации: | 01.01.2021 | | Дата введения: | 01.01.1984 | | Оглавление: | Приложение Типовое оформление чертежа протяжки | | Утверждён: | 03.03.1982 Госстандарт СССР (USSR Gosstandart 936)
| | Список изменений: | |
                                                                                                                         
Текстовое изменение № 1 от 01.09.1986
 
Текстовое изменение № 2 от 01.02.1988

|