Скачать ГОСТ 25161-82 Протяжки для шлицевых отверстий с эвольвентным профилем диаметром от 7О до 9О мм модулем от 3,5 до 5 мм с центрированием по наружному диаметру двухпроходные. Конструкция и размерыДата актуализации: 01.01.2021 ГОСТ 25161-82
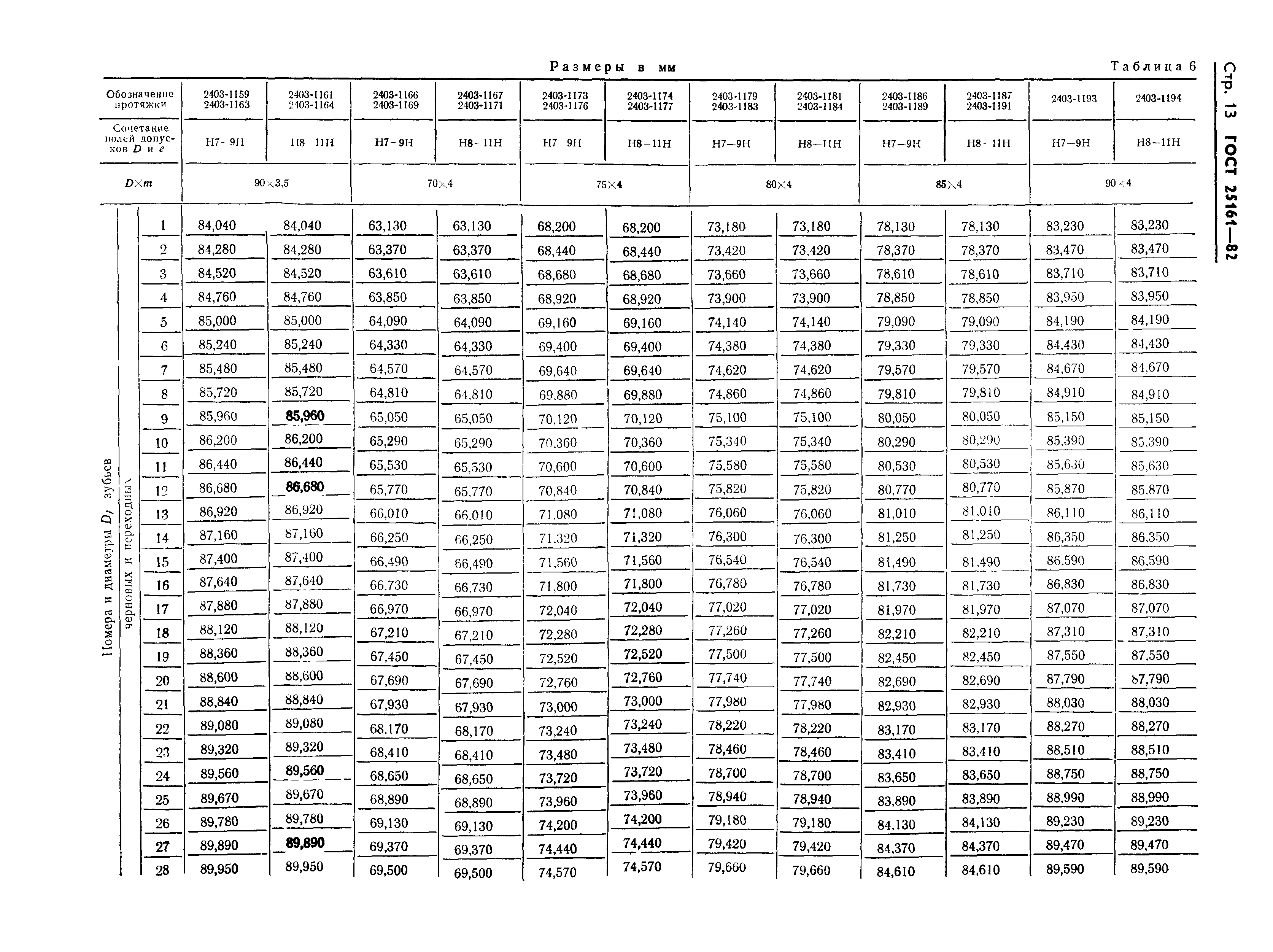
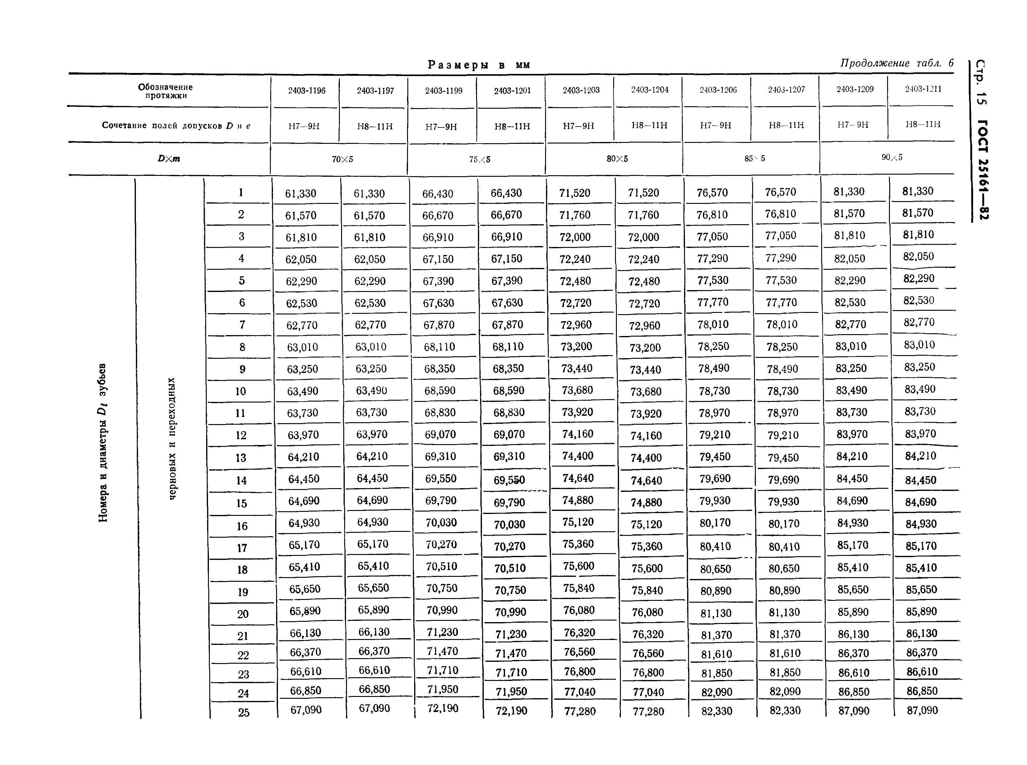
Протяжки для шлицевых отверстий с эвольвентным профилем диаметром от 7О до 9О мм модулем от 3,5 до 5 мм с центрированием по наружному диаметру двухпроходные. Конструкция и размеры| Обозначение: | ГОСТ 25161-82 | | Обозначение англ: | GOST 25161-82 | | Статус: | действует | | Название рус.: | Протяжки для шлицевых отверстий с эвольвентным профилем диаметром от 7О до 9О мм модулем от 3,5 до 5 мм с центрированием по наружному диаметру двухпроходные. Конструкция и размеры | | Название англ.: | Broaches with diameter from 70 to 90 mm for slitting holes with involute profile and centring at outside diameter with modul from 3,5 to 5 mm. Double driven. Construction and dimensions | | Дата добавления в базу: | 01.09.2013 | | Дата актуализации: | 01.01.2021 | | Дата введения: | 01.01.1984 | | Область применения: | Стандарт распространяется на двухпроходные протяжки универсального назначения диаметром от 70 до 90 мм, модулем от 3,5 до 5 мм, предназначенные для обработки шлицевых втулок с эвольвентным профилем с центрированием по наружному диаметру. | | Утверждён: | 03.03.1982 Госстандарт СССР (USSR Gosstandart 937)
| | Список изменений: | |
                     
Текстовое изменение № 1 от 01.09.1986
 
Текстовое изменение № 2 от 01.02.1988

|