Скачать ГОСТ 25431-82 Таблица динамических давлений и температур торможения воздуха в зависимости от числа Маха и высоты полетаДата актуализации: 01.01.2021 ГОСТ 25431-82
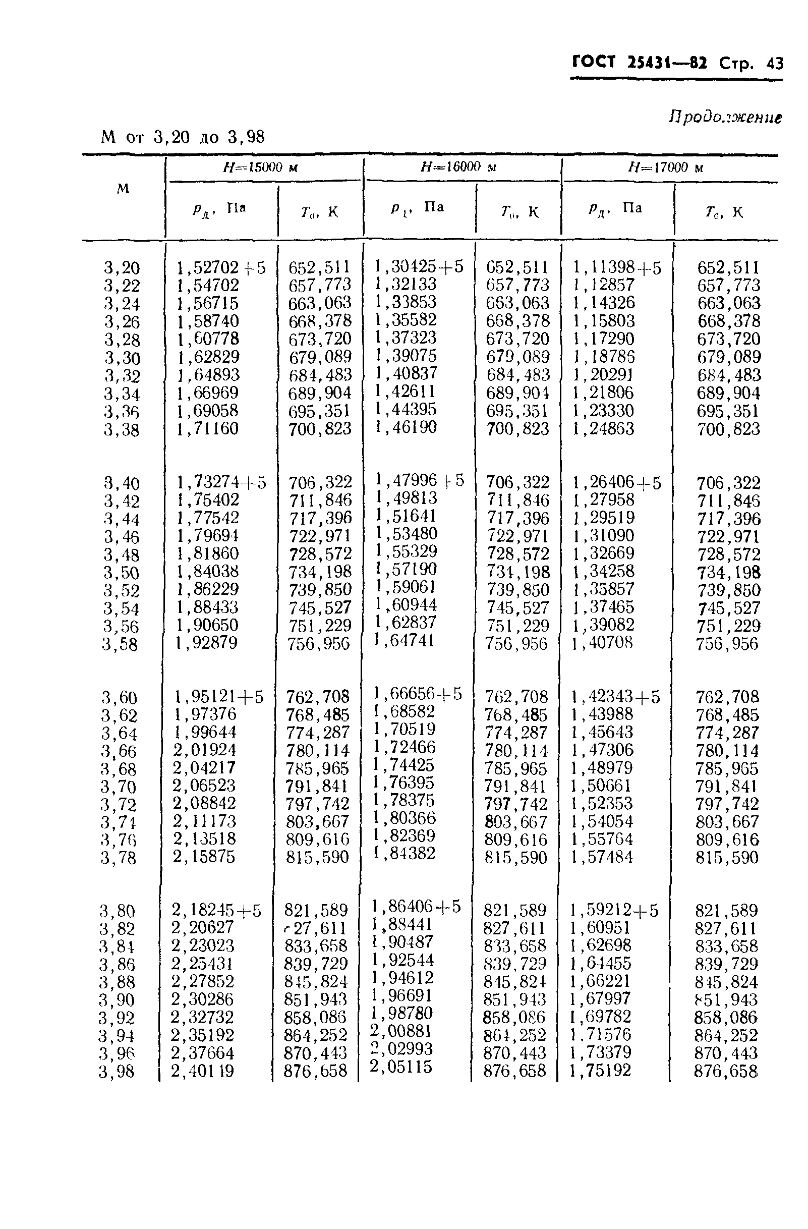
Таблица динамических давлений и температур торможения воздуха в зависимости от числа Маха и высоты полета| Обозначение: | ГОСТ 25431-82 | | Обозначение англ: | GOST 25431-82 | | Статус: | действует | | Название рус.: | Таблица динамических давлений и температур торможения воздуха в зависимости от числа Маха и высоты полета | | Название англ.: | Table of dynamic pressures and stagnation temperatures of air as a function of Mach number and flight altitude | | Дата добавления в базу: | 01.09.2013 | | Дата актуализации: | 01.01.2021 | | Дата введения: | 01.01.1984 | | Утверждён: | 27.08.1982 Госстандарт СССР (USSR Gosstandart 3429)
|
                                                                                  
|