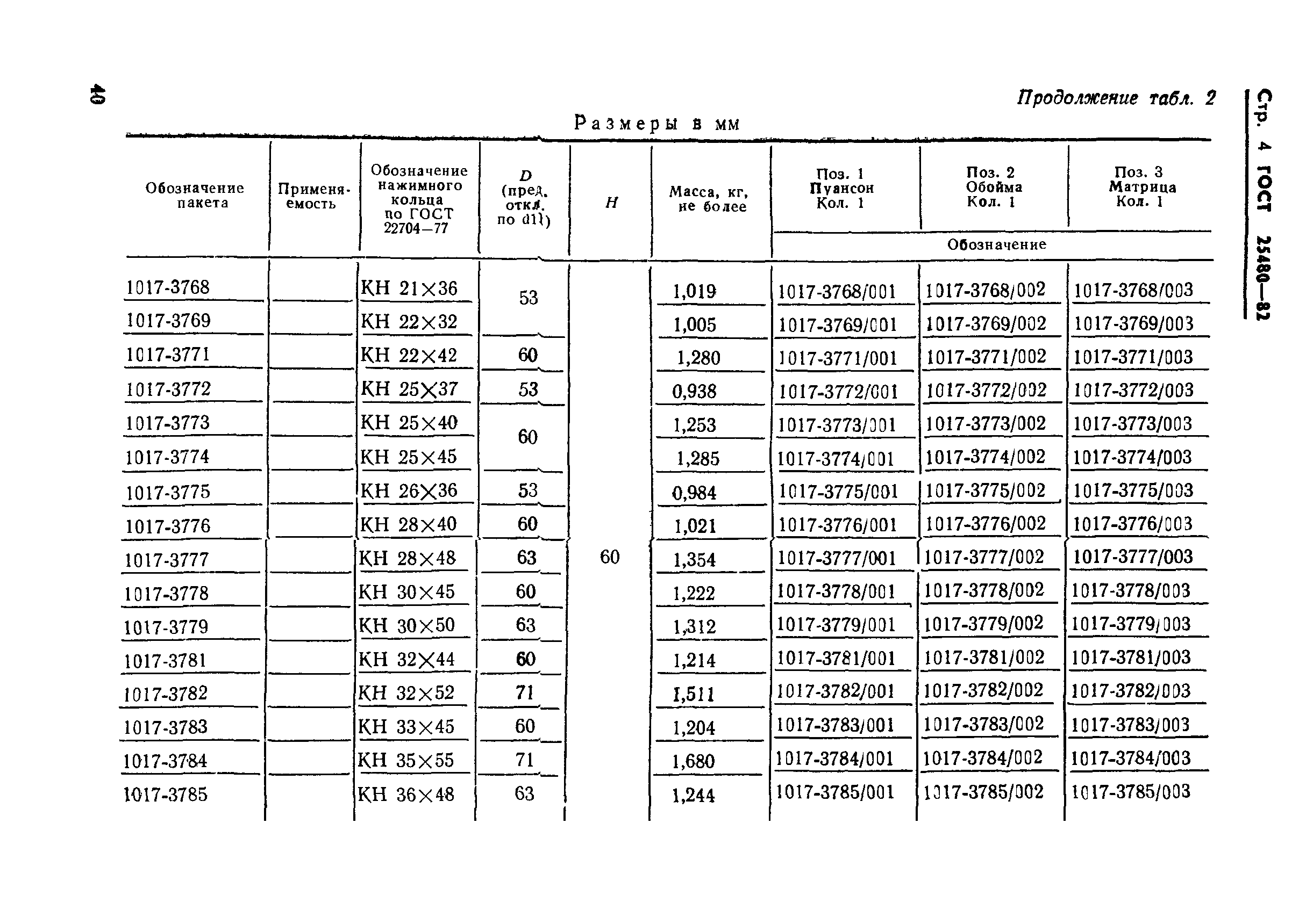
Скачать ГОСТ 25480-82 Пакеты трехкассетных пресс-форм для изготовления резинотканевых нажимных колец. Конструкция и размерыДата актуализации: 01.01.2021 ГОСТ 25480-82
Пакеты трехкассетных пресс-форм для изготовления резинотканевых нажимных колец. Конструкция и размеры| Обозначение: | ГОСТ 25480-82 | | Обозначение англ: | GOST 25480-82 | | Статус: | действует | | Название рус.: | Пакеты трехкассетных пресс-форм для изготовления резинотканевых нажимных колец. Конструкция и размеры | | Название англ.: | Packets of three-cassets press moulds for manufacturing the rubber-fabric locking rings. Design and dimensions | | Дата добавления в базу: | 01.09.2013 | | Дата актуализации: | 01.01.2021 | | Дата введения: | 01.01.1984 | | Утверждён: | 14.10.1982 Госстандарт СССР (USSR Gosstandart 3970)
|
                                
|