Скачать ГОСТ 25553-82 Гидроцилиндры одноступенчатые на номинальное давление 16МПа (160 кгс/см2). Присоединительные резьбы штоков и плунжеров

Дата актуализации: 01.01.2021

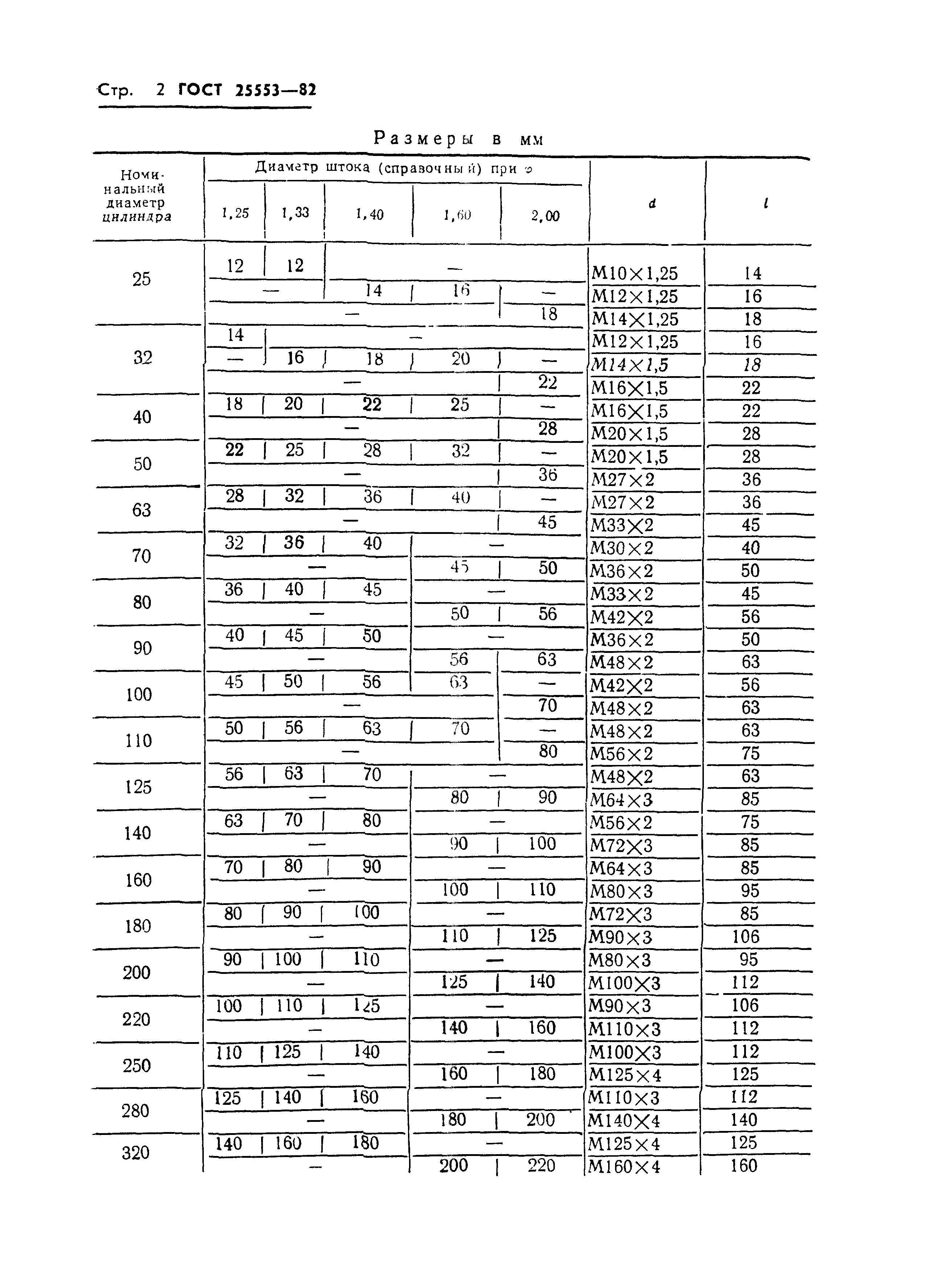
ГОСТ 25553-82

Гидроцилиндры одноступенчатые на номинальное давление 16МПа (160 кгс/см2). Присоединительные резьбы штоков и плунжеров

Обозначение: ГОСТ 25553-82
Обозначение англ: GOST 25553-82
Статус:только на территории рф
Название рус.:Гидроцилиндры одноступенчатые на номинальное давление 16МПа (160 кгс/см2). Присоединительные резьбы штоков и плунжеров
Название англ.:One stage hydraulic cylinders at nominal pressure 16 MPa. Connected threads of rods and plungers
Дата добавления в базу:01.09.2013
Дата актуализации:01.01.2021
Дата введения:01.07.1983
Область применения:Стандарт распространяется на одноступенчатые гидроцилиндры общемашиностроительного применения одно- и двустороннего действия на номинальное давление 16 МПа (160 кгс/см кв.) с соотношением рабочих площадей поршня фи 1,25; 1,33; 1,4; 1,6 и 2,0 и устанавливает размеры присоединительных резьб штоков и плунжеров.
Разработан: Министерство станкостроительной и инструментальной промышленности
Утверждён:24.12.1982 Государственный комитет СССР по стандартам (USSR National Committee on Standards 5049)
Издан: Издательство стандартов (1983 г. )
Список изменений:
Нормативные ссылки:
ГОСТ 25553-82ГОСТ 25553-82ГОСТ 25553-82ГОСТ 25553-82ГОСТ 25553-82ГОСТ 25553-82ГОСТ 25553-82

Текстовое изменение № 1 от 01.07.1988

№ 1№ 1