Скачать ГОСТ 25645.118-84 Излучение космическое рентгеновское дискретных источников. Энергетические спектры и угловые координатыДата актуализации: 01.01.2021
|
| Обозначение: | ГОСТ 25645.118-84 |
| Обозначение англ: | GOST 25645.118-84 |
| Статус: | действует |
| Название рус.: | Излучение космическое рентгеновское дискретных источников. Энергетические спектры и угловые координаты |
| Название англ.: | Cosmic x-rays of the discrete sources. Energy spectra and angular coordinates |
| Дата добавления в базу: | 01.09.2013 |
| Дата актуализации: | 01.01.2021 |
| Дата введения: | 01.01.1986 |
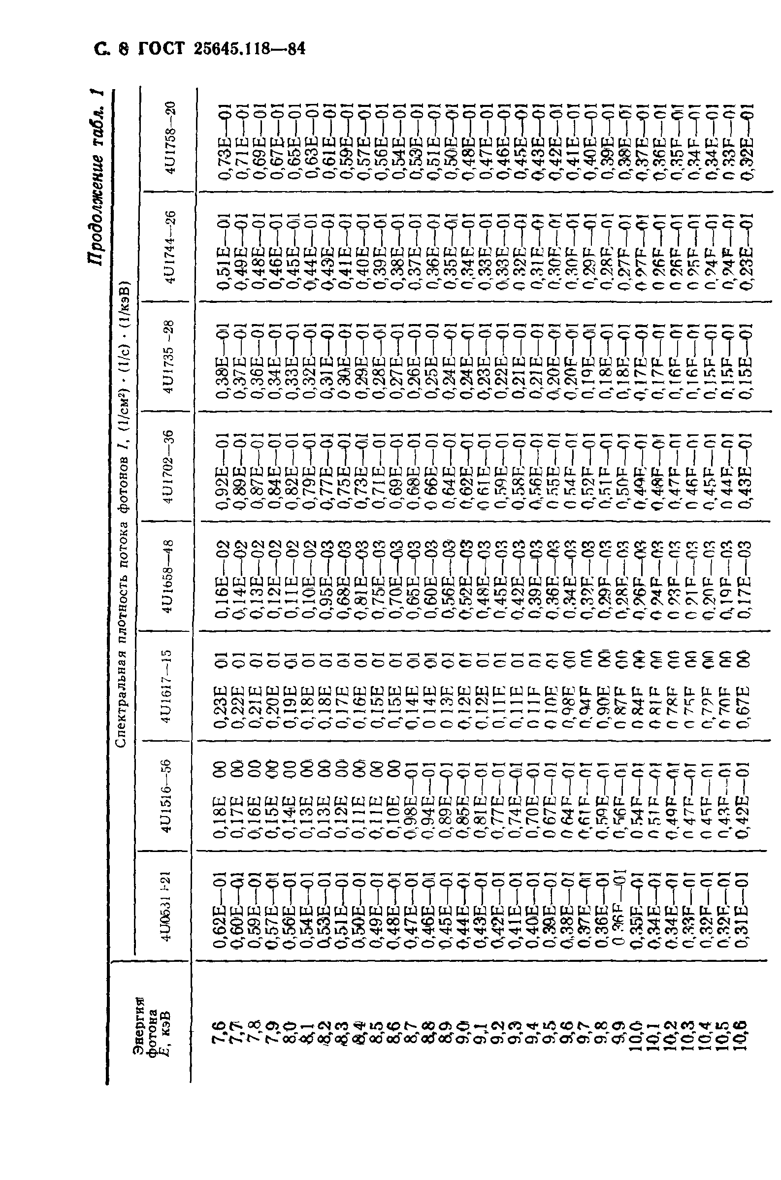
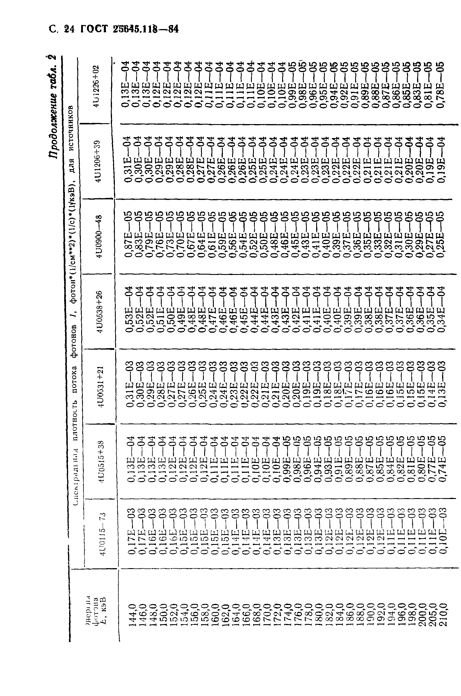
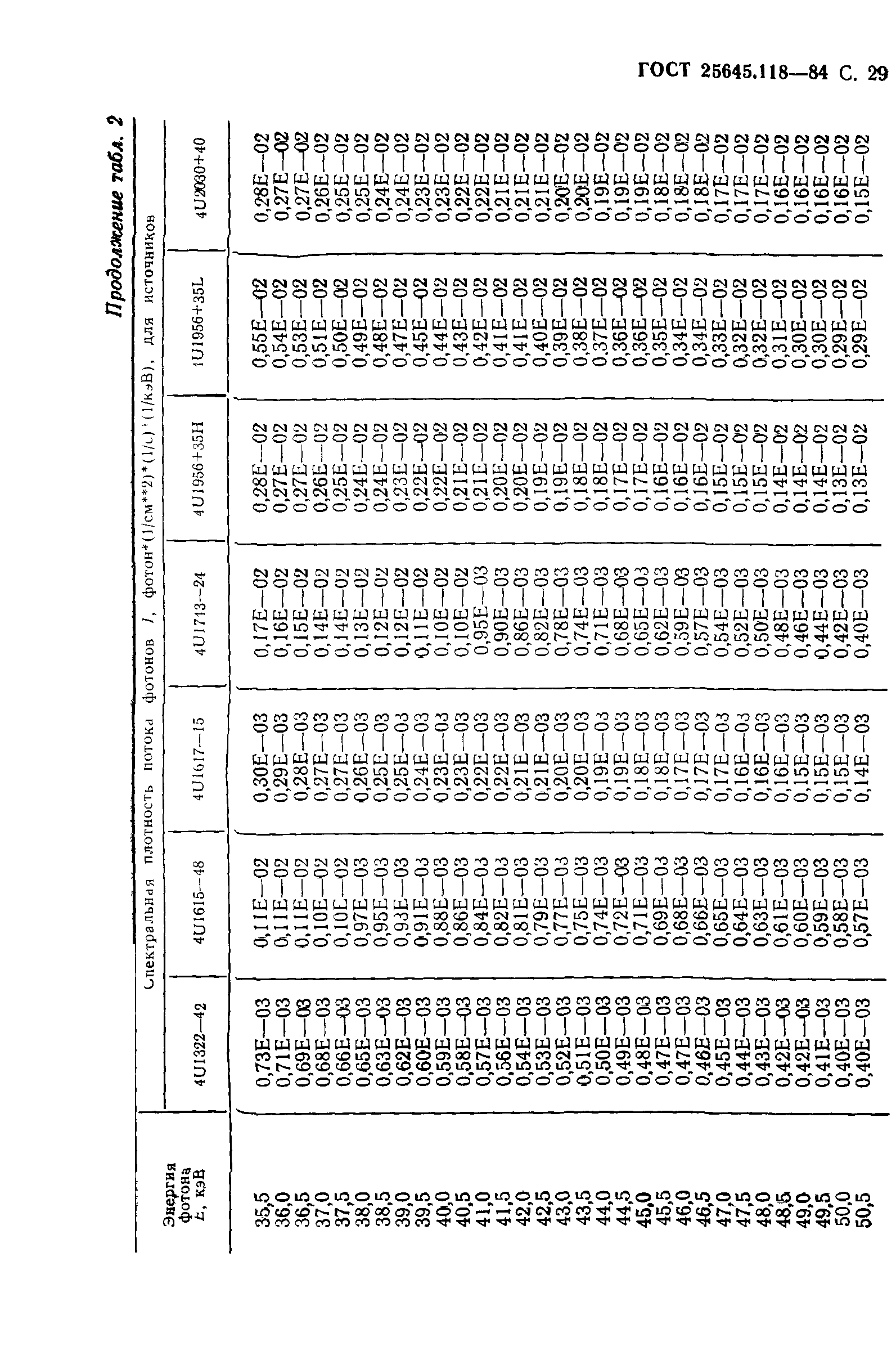
| Оглавление: | Приложение 1 Энергетические спектры дискретных источников рентгеновского излучения в диапазоне от 2 до 20 кэВ Приложение 2 Программа расчета характеристик энергетических спектров рентгеновского излучения дискретных источников в диапазоне от 2 до 20 кэВ Приложение 3 Программа расчета характеристик энергетических спектров космического рентгеновского излучения дискретных источников в диапазоне от 20 до 800 кэВ |
| Утверждён: | 14.12.1984 Госстандарт СССР (USSR Gosstandart 4351) |










































