Скачать ГОСТ 25645.139-86 Пояса Земли радиационные естественные. Модель пространственно-энергетического распределения плотности потока электронов

Дата актуализации: 01.01.2021

ГОСТ 25645.139-86

Пояса Земли радиационные естественные. Модель пространственно-энергетического распределения плотности потока электронов

Обозначение: ГОСТ 25645.139-86
Обозначение англ: GOST 25645.139-86
Статус:действует
Название рус.:Пояса Земли радиационные естественные. Модель пространственно-энергетического распределения плотности потока электронов
Название англ.:Van Allen Belts - Model of Space-Time Energy Distribution of Proton Flux Density
Дата добавления в базу:01.09.2013
Дата актуализации:01.01.2021
Дата введения:01.07.1987
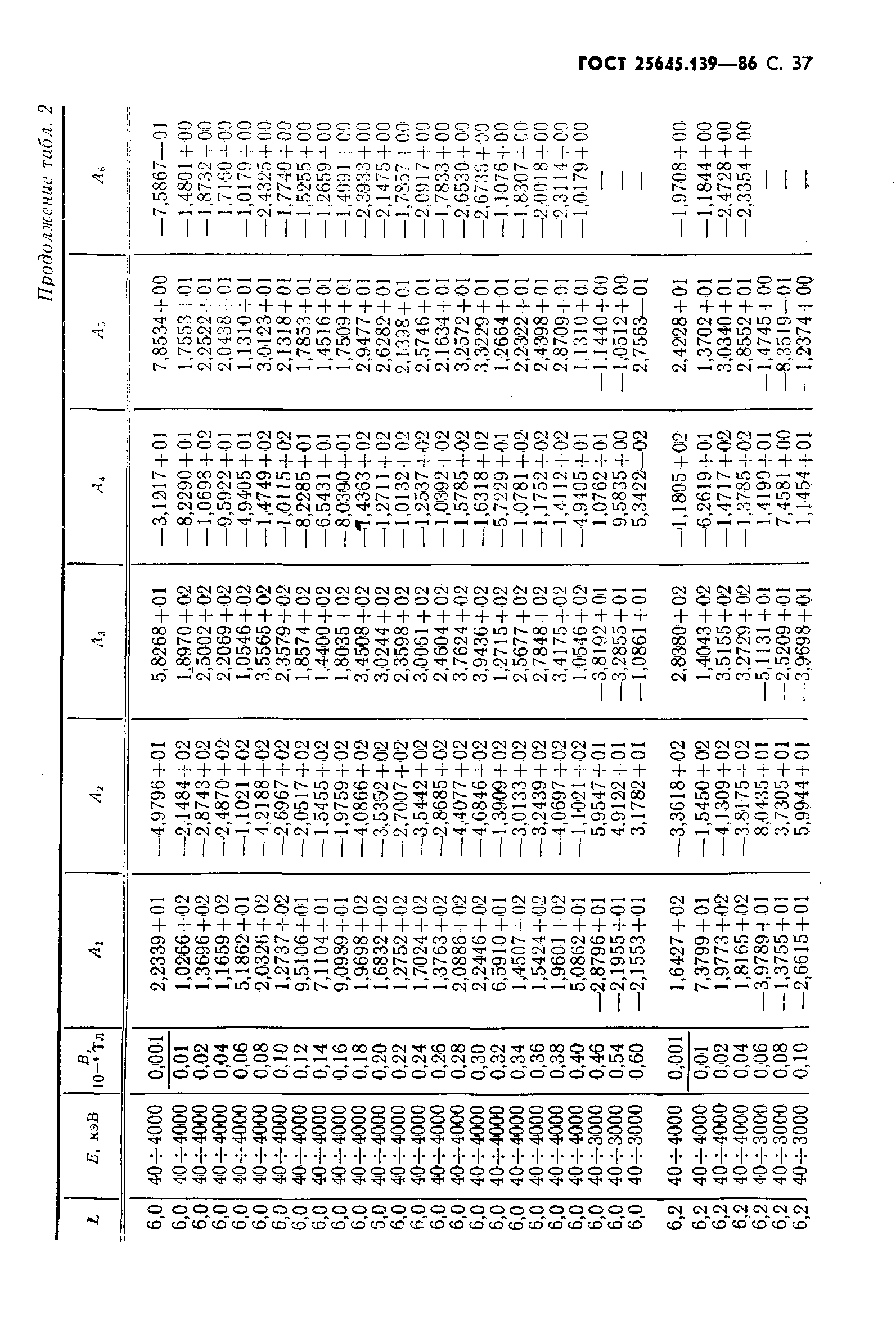
Оглавление:Приложение Данные для приближенных оценок энергетических и пространственных распределений плотности потока электронов
Утверждён:30.03.1986 Госстандарт СССР (USSR Gosstandart 844)
ГОСТ 25645.139-86ГОСТ 25645.139-86ГОСТ 25645.139-86ГОСТ 25645.139-86ГОСТ 25645.139-86ГОСТ 25645.139-86ГОСТ 25645.139-86ГОСТ 25645.139-86ГОСТ 25645.139-86ГОСТ 25645.139-86ГОСТ 25645.139-86ГОСТ 25645.139-86ГОСТ 25645.139-86ГОСТ 25645.139-86ГОСТ 25645.139-86ГОСТ 25645.139-86ГОСТ 25645.139-86ГОСТ 25645.139-86ГОСТ 25645.139-86ГОСТ 25645.139-86ГОСТ 25645.139-86ГОСТ 25645.139-86ГОСТ 25645.139-86ГОСТ 25645.139-86ГОСТ 25645.139-86ГОСТ 25645.139-86ГОСТ 25645.139-86ГОСТ 25645.139-86ГОСТ 25645.139-86ГОСТ 25645.139-86ГОСТ 25645.139-86ГОСТ 25645.139-86ГОСТ 25645.139-86ГОСТ 25645.139-86ГОСТ 25645.139-86ГОСТ 25645.139-86ГОСТ 25645.139-86ГОСТ 25645.139-86ГОСТ 25645.139-86ГОСТ 25645.139-86ГОСТ 25645.139-86ГОСТ 25645.139-86ГОСТ 25645.139-86ГОСТ 25645.139-86ГОСТ 25645.139-86ГОСТ 25645.139-86ГОСТ 25645.139-86ГОСТ 25645.139-86ГОСТ 25645.139-86ГОСТ 25645.139-86ГОСТ 25645.139-86ГОСТ 25645.139-86ГОСТ 25645.139-86ГОСТ 25645.139-86ГОСТ 25645.139-86ГОСТ 25645.139-86ГОСТ 25645.139-86ГОСТ 25645.139-86ГОСТ 25645.139-86ГОСТ 25645.139-86ГОСТ 25645.139-86ГОСТ 25645.139-86ГОСТ 25645.139-86ГОСТ 25645.139-86ГОСТ 25645.139-86ГОСТ 25645.139-86ГОСТ 25645.139-86ГОСТ 25645.139-86ГОСТ 25645.139-86ГОСТ 25645.139-86ГОСТ 25645.139-86ГОСТ 25645.139-86ГОСТ 25645.139-86ГОСТ 25645.139-86ГОСТ 25645.139-86ГОСТ 25645.139-86ГОСТ 25645.139-86ГОСТ 25645.139-86ГОСТ 25645.139-86ГОСТ 25645.139-86ГОСТ 25645.139-86ГОСТ 25645.139-86ГОСТ 25645.139-86ГОСТ 25645.139-86ГОСТ 25645.139-86ГОСТ 25645.139-86ГОСТ 25645.139-86ГОСТ 25645.139-86ГОСТ 25645.139-86ГОСТ 25645.139-86ГОСТ 25645.139-86ГОСТ 25645.139-86ГОСТ 25645.139-86ГОСТ 25645.139-86ГОСТ 25645.139-86ГОСТ 25645.139-86ГОСТ 25645.139-86ГОСТ 25645.139-86ГОСТ 25645.139-86ГОСТ 25645.139-86ГОСТ 25645.139-86ГОСТ 25645.139-86ГОСТ 25645.139-86ГОСТ 25645.139-86ГОСТ 25645.139-86ГОСТ 25645.139-86ГОСТ 25645.139-86ГОСТ 25645.139-86ГОСТ 25645.139-86ГОСТ 25645.139-86ГОСТ 25645.139-86ГОСТ 25645.139-86ГОСТ 25645.139-86ГОСТ 25645.139-86ГОСТ 25645.139-86ГОСТ 25645.139-86ГОСТ 25645.139-86ГОСТ 25645.139-86ГОСТ 25645.139-86ГОСТ 25645.139-86ГОСТ 25645.139-86ГОСТ 25645.139-86ГОСТ 25645.139-86ГОСТ 25645.139-86ГОСТ 25645.139-86ГОСТ 25645.139-86ГОСТ 25645.139-86ГОСТ 25645.139-86ГОСТ 25645.139-86ГОСТ 25645.139-86ГОСТ 25645.139-86ГОСТ 25645.139-86ГОСТ 25645.139-86ГОСТ 25645.139-86ГОСТ 25645.139-86