Скачать ГОСТ 26236-84 Втулки промежуточные нормальной и повышенной точности. Конструкция и размеры

Дата актуализации: 01.01.2021

ГОСТ 26236-84

Втулки промежуточные нормальной и повышенной точности. Конструкция и размеры

Обозначение: ГОСТ 26236-84
Обозначение англ: GOST 26236-84
Статус:заменен
Название рус.:Втулки промежуточные нормальной и повышенной точности. Конструкция и размеры
Название англ.:Normal and high precision intermediate bushes. Design and dimensions
Дата добавления в базу:01.10.2014
Дата актуализации:01.01.2021
Дата введения:01.01.1986
Дата окончания срока действия:01.07.1996
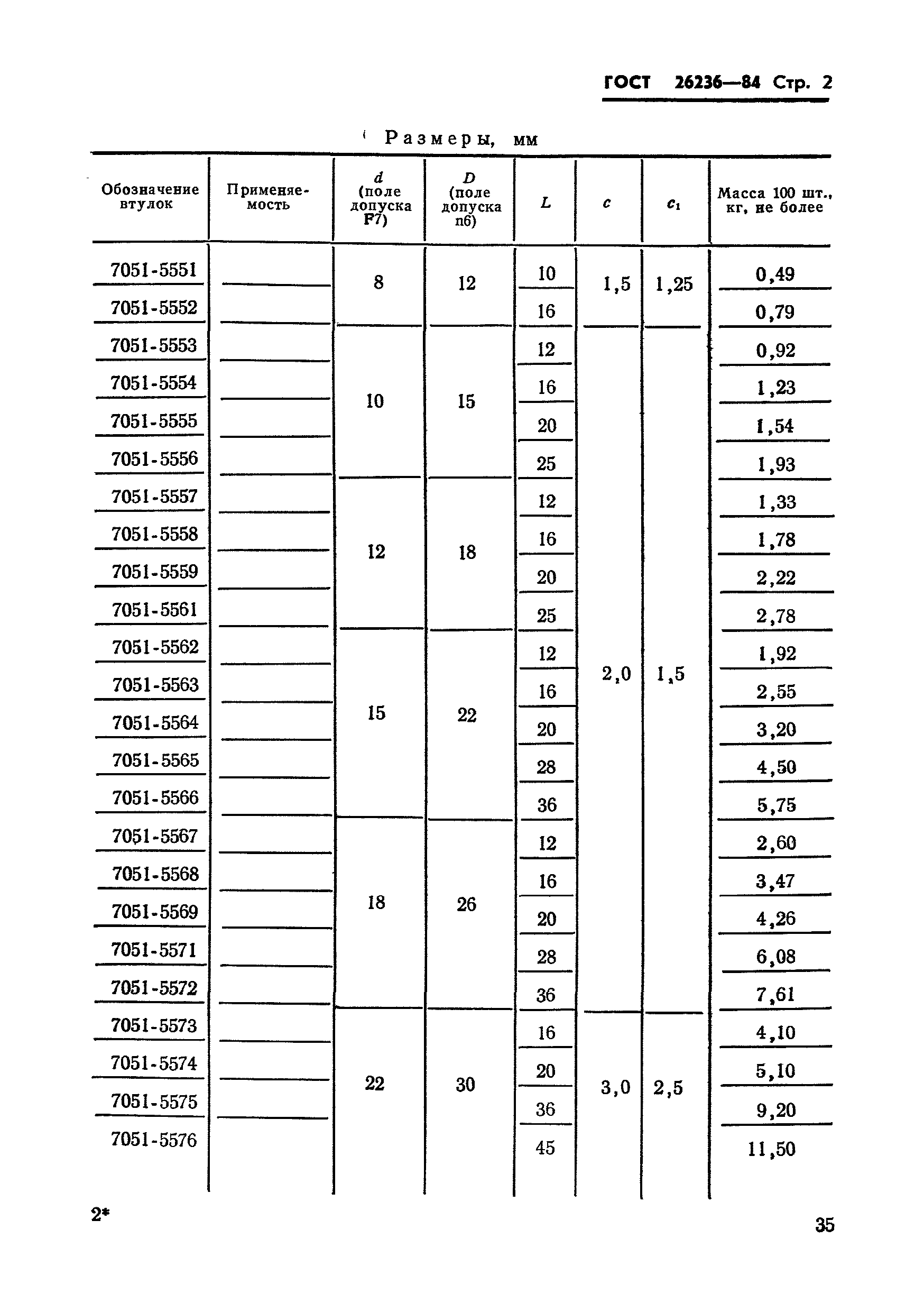
Область применения:Стандарт распространяется на промежуточные втулки для установки сменных и быстросменных кондукторных втулок по ГОСТ 26234-84 и ГОСТ 26235-84 в приспособления металлорежущих станков, разработанные после 01.01.86. Показатели технического уровня, установленные стандартом, соответствуют требованиям, предъявляемым к изделиям высшей категории качества.
Разработан: Министерство станкостроительной и инструментальной промышленности
Утверждён:29.06.1984 Государственный комитет СССР по стандартам (USSR National Committee on Standards 2423)
Издан: Издательство стандартов (1984 г. )
Нормативные ссылки:
ГОСТ 26236-84ГОСТ 26236-84ГОСТ 26236-84ГОСТ 26236-84ГОСТ 26236-84ГОСТ 26236-84ГОСТ 26236-84ГОСТ 26236-84