Скачать ГОСТ 26259-87 Цапфы направляющие. Конструкция и размеры

Дата актуализации: 01.01.2021

ГОСТ 26259-87

Цапфы направляющие. Конструкция и размеры

Обозначение: ГОСТ 26259-87
Обозначение англ: GOST 26259-87
Статус:взамен
Название рус.:Цапфы направляющие. Конструкция и размеры
Название англ.:Cuides. Pesign and dimensions
Дата добавления в базу:01.09.2013
Дата актуализации:01.01.2021
Дата введения:01.01.1989
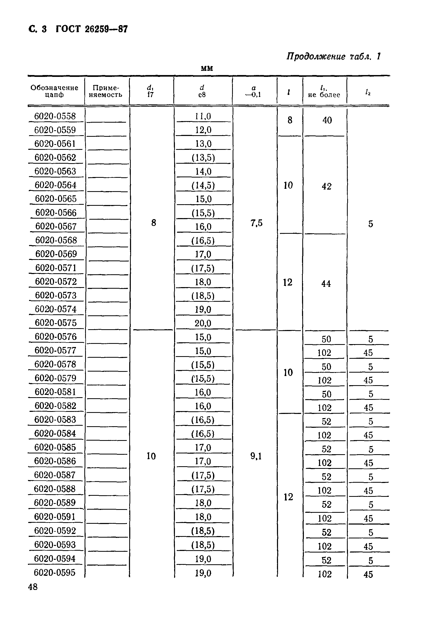
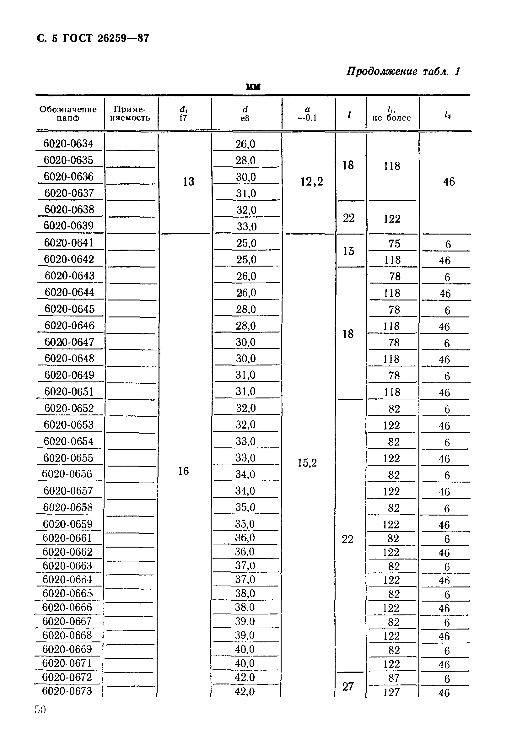
Область применения:Стандарт распространяется на сменные направленные цапфы к цилиндрическим цековкам для обработки опорных поверхностей.
Разработан: Министерство станкостроительной и инструментальной промышленности СССР
Утверждён:24.11.1987 Госстандарт СССР (USSR Gosstandart 4242)
Заменяет собой:
  • ГОСТ 26259-84 «Цапфы направляющие. Конструкция и размеры» (ИУС 2-88)
Нормативные ссылки:
ГОСТ 26259-87ГОСТ 26259-87ГОСТ 26259-87ГОСТ 26259-87ГОСТ 26259-87ГОСТ 26259-87ГОСТ 26259-87ГОСТ 26259-87ГОСТ 26259-87ГОСТ 26259-87ГОСТ 26259-87ГОСТ 26259-87