Скачать ГОСТ 27430-87 Машины электрические вращающиеся. Условные обозначения для описания синхронных машинДата актуализации: 01.01.2021
|
| Обозначение: | ГОСТ 27430-87 |
| Обозначение англ: | GOST 27430-87 |
| Статус: | действует |
| Название рус.: | Машины электрические вращающиеся. Условные обозначения для описания синхронных машин |
| Название англ.: | Electrical rotary machines. Conventions for description of synchronous machines |
| Дата добавления в базу: | 01.09.2013 |
| Дата актуализации: | 01.01.2021 |
| Дата введения: | 01.07.1988 |
| Область применения: | Стандарт устанавливает некоторые правила описания параметров синхронных машин в относительных единицах, базирующихся на принятых для электрических и магнитных цепей обозначениях. |
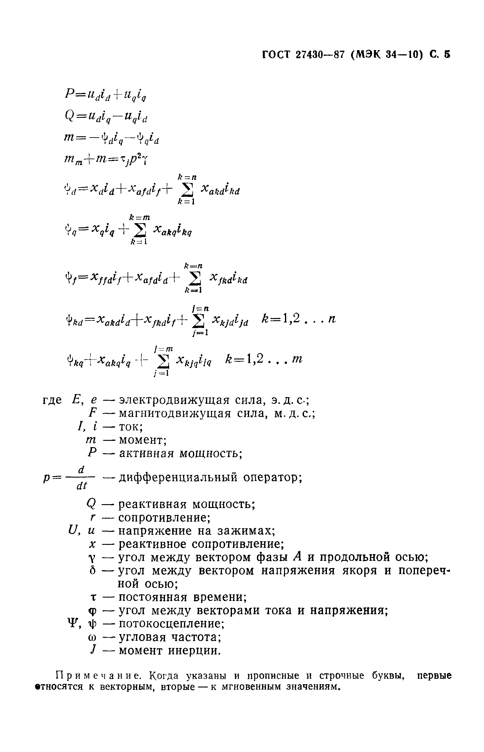
| Оглавление: | 1 Векторные диаграммы 2 Математическое описание синхронных машин Приложение 1 (обязательное) Векторные диаграммы синхронных машин Приложение 2 (справочное) |
| Разработан: | Министерство электротехнической промышленности СССР |
| Утверждён: | 28.09.1987 Государственный комитет СССР по стандартам (USSR National Committee on Standards 3738) |
| Издан: | Издательство стандартов (1988 г. ) |













