Скачать ГОСТ 27464-87 Системы обработки информации. Коды 7 и 8-битные, представляемые на перфокартах

Дата актуализации: 01.01.2021

ГОСТ 27464-87

Системы обработки информации. Коды 7 и 8-битные, представляемые на перфокартах

Обозначение: ГОСТ 27464-87
Обозначение англ: GOST 27464-87
Статус:действует
Название рус.:Системы обработки информации. Коды 7 и 8-битные, представляемые на перфокартах
Название англ.:Information processing systems. 7-Bit and 8-bit codes represented on punched cards
Дата добавления в базу:01.09.2013
Дата актуализации:01.01.2021
Дата введения:01.01.1988
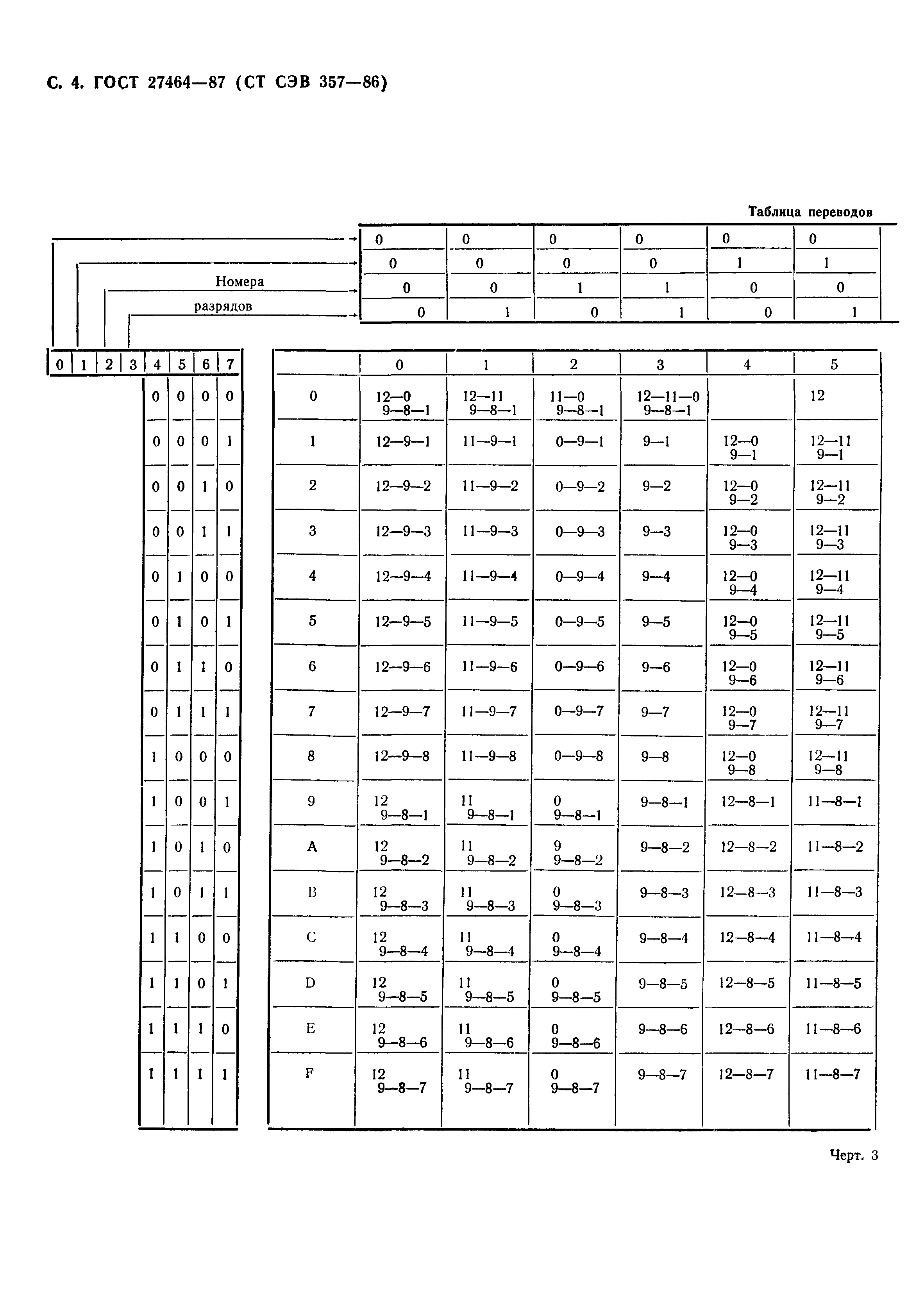
Область применения:Стандарт устанавливает представление 7-битного кода КОИ-7 по ГОСТ 27463-87 и 8-битного кода КОИ-8 по ГОСТ 19768-74 на 12-позиционных перфокартах (КПК-12) по СТ СЭВ 5144-85, применяемых в устройствах подготовки и ввода-вывода данных на перфокартах.
Утверждён:29.10.1987 Госстандарт СССР (USSR Gosstandart 4077)
Издан: Издательство стандартов (1988 г. )
Нормативные ссылки:
ГОСТ 27464-87ГОСТ 27464-87ГОСТ 27464-87ГОСТ 27464-87ГОСТ 27464-87ГОСТ 27464-87ГОСТ 27464-87ГОСТ 27464-87ГОСТ 27464-87