Скачать ГОСТ 28072-89 Оружие спортивное и охотничье. Методы оценки уровня качестваДата актуализации: 01.01.2021
|
| Обозначение: | ГОСТ 28072-89 |
| Обозначение англ: | GOST 28072-89 |
| Статус: | взамен |
| Название рус.: | Оружие спортивное и охотничье. Методы оценки уровня качества |
| Название англ.: | Competition and sporting firearms. Quality level evaluation methods |
| Дата добавления в базу: | 01.09.2013 |
| Дата актуализации: | 01.01.2021 |
| Дата введения: | 01.01.1990 |
| Область применения: | Стандарт распространяется на спортивное и охотничье оружие и устанавливает методы оценки уровня качества изделий при проведении экспертизы технического уровня опытных и аттестации серийных образцов изделий. |
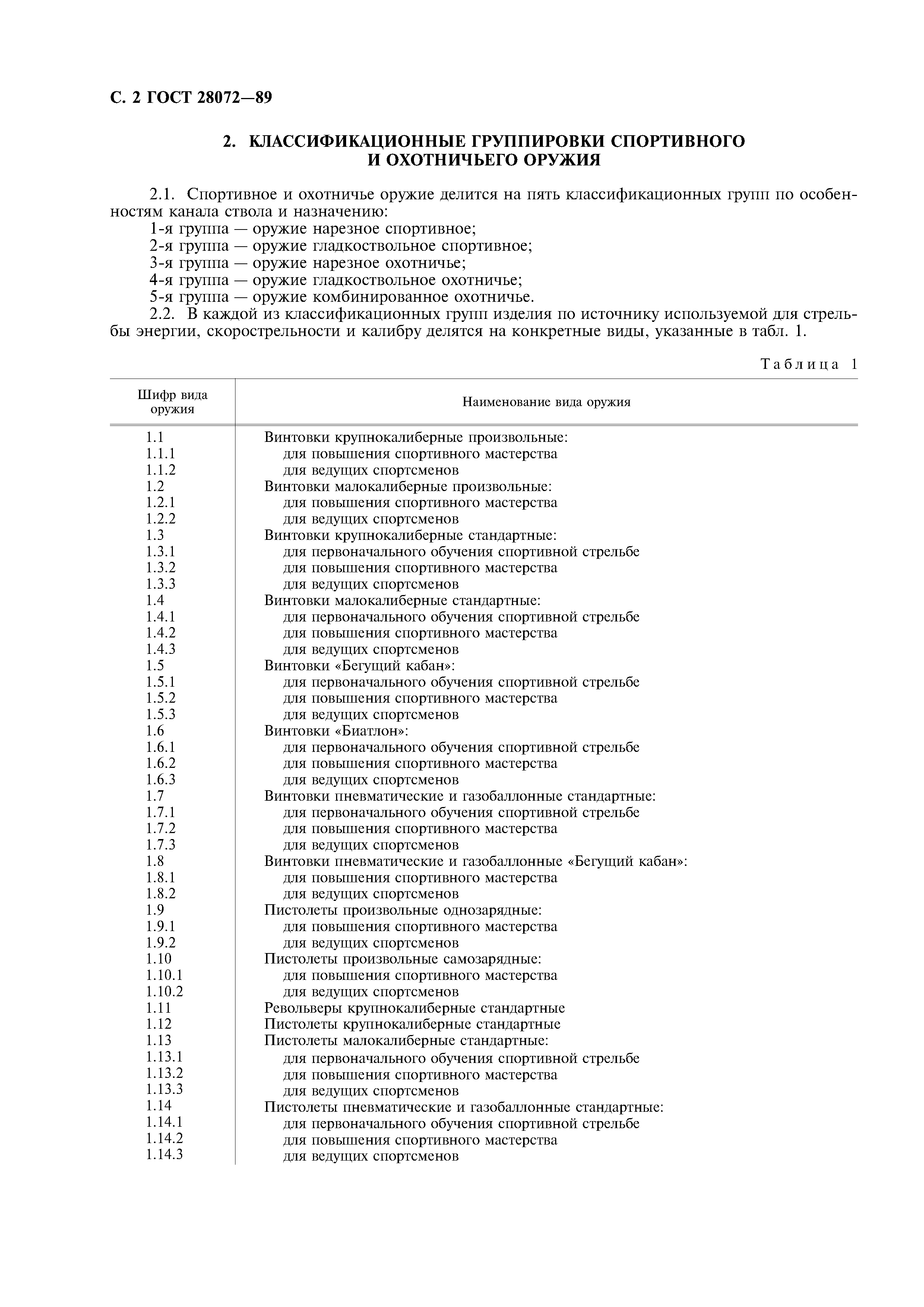
| Оглавление: | 1 Общие положения 2 Классификационные группировки спортивного и охотничьего оружия 3 Номенклатура показателей качества спортивного и охотничьего оружия 4 Применяемость показателей качества спортивного и охотничьего оружия 5 Методы определения значений показателей качества 6 Выбор базовых образцов 7 Методы оценки уровня качества изделий Приложение 1 (справочное) Термины, применяемые в стандарте, и пояснения к ним Приложение 2 (обязательное) Формы карт Приложение 3 (обязательное) Перспективные значения показателей качества спортивного и охотничьего оружия Приложение 4 (обязательное) Номенклатура показателей качества спортивного и охотничьего оружия и коэффициенты их весомости для комплексной оценки уровня качества Приложение 5 (справочное) Пример оценки уровня качества произвольной малокалиберной винтовки модели МПВ-5 с целью определения соответствия его мировому уровню |
| Утверждён: | 28.03.1989 Государственный комитет СССР по стандартам (USSR National Committee on Standards 820) |
| Издан: | Издательство стандартов (1989 г. ) Стандартинформ (2007 г. ) |
| Заменяет собой: |
|
| Нормативные ссылки: |












































