Скачать ГОСТ 28755-90 Мех искусственный тканепрошивной. Общие технические условия

Дата актуализации: 01.01.2021

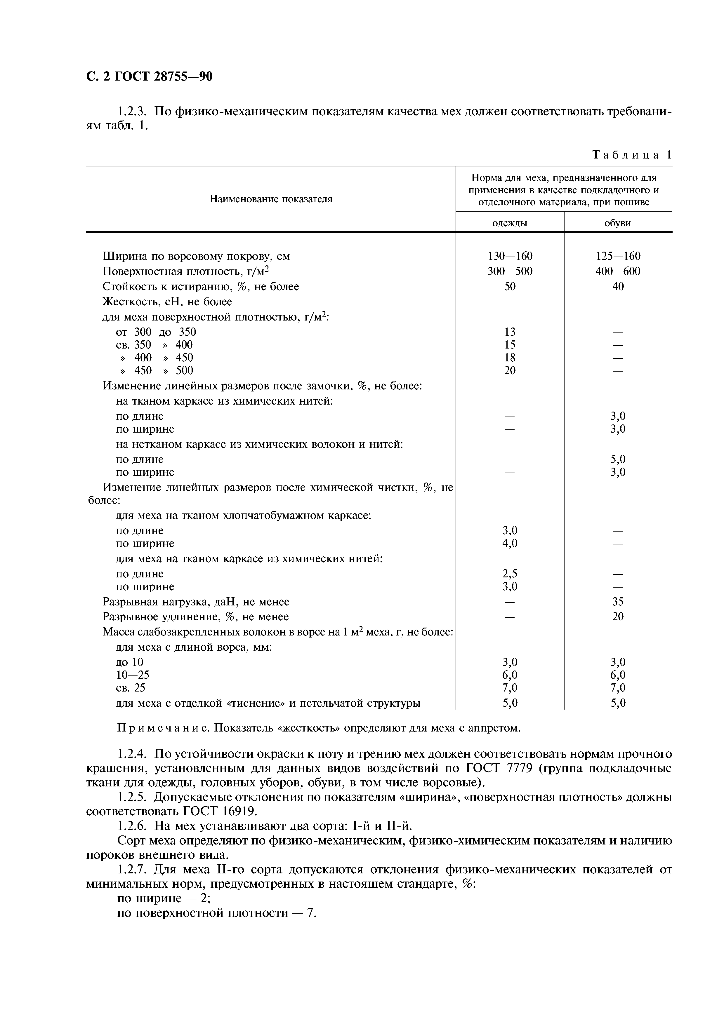
ГОСТ 28755-90

Мех искусственный тканепрошивной. Общие технические условия

Обозначение: ГОСТ 28755-90
Обозначение англ: GOST 28755-90
Статус:действует
Название рус.:Мех искусственный тканепрошивной. Общие технические условия
Название англ.:Imitation fur with stitch-bonded fabrik. General specifications
Дата добавления в базу:01.09.2013
Дата актуализации:01.01.2021
Дата введения:01.01.1992
Область применения:Стандарт распространяется на искусственный тканепрошивной мех, предназначенный для применения в качестве подкладочного и отделочного материала при пошиве одежды и обуви.
Оглавление:1 Технические требования
2 Приемка
3 Методы испытаний
4 Транспортирование и хранение
Приложение Перечень требований, предусматриваемых в технических описаниях
Разработан: Государственный комитет по легкой промышленности при Госплане СССР
Утверждён:28.11.1990 Госстандарт СССР (USSR Gosstandart 2954)
Издан: Издательство стандартов (1991 г. )
Стандартинформ (2005 г. )
Заменяет собой:
  • ОСТ 17-793-86
Нормативные ссылки:
ГОСТ 28755-90ГОСТ 28755-90ГОСТ 28755-90ГОСТ 28755-90ГОСТ 28755-90ГОСТ 28755-90ГОСТ 28755-90