Скачать ГОСТ 28980-91 Резцы токарные проходные и подрезные со сменными режущими пластинами из сверхтвердых материалов. Типы и основные размерыДата актуализации: 01.01.2021
|
| Обозначение: | ГОСТ 28980-91 |
| Обозначение англ: | GOST 28980-91 |
| Статус: | введен впервые |
| Название рус.: | Резцы токарные проходные и подрезные со сменными режущими пластинами из сверхтвердых материалов. Типы и основные размеры |
| Название англ.: | Cutter for external turning with super hand materials inserts. Types and basic dimensions |
| Дата добавления в базу: | 01.09.2013 |
| Дата актуализации: | 01.01.2021 |
| Дата введения: | 01.01.1992 |
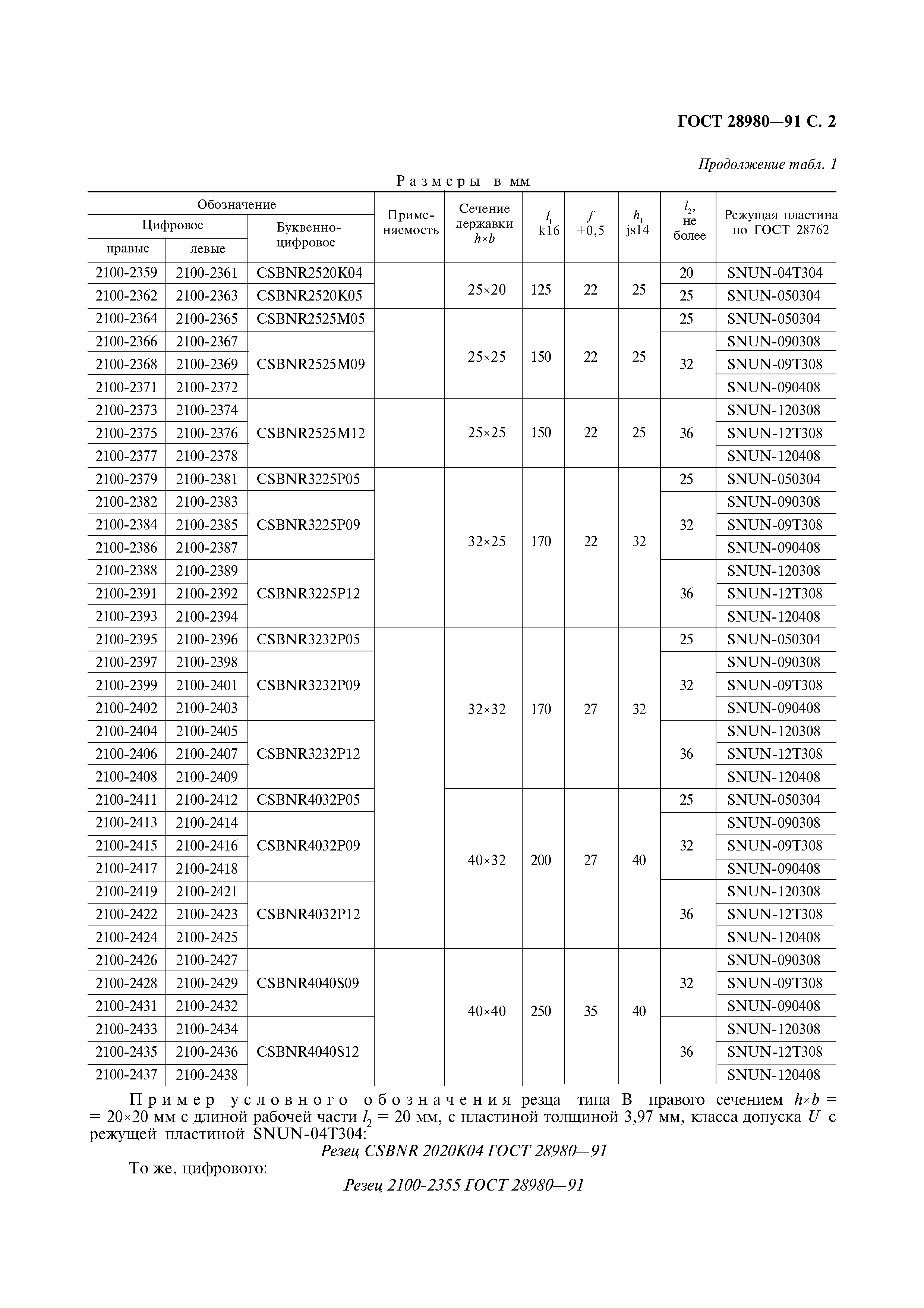
| Область применения: | Стандарт распространяется на токарные проходные и подрезные резцы с прямоугольным сечением державки с механическим креплением сменных режущих пластин из сверхтвердых материалов по ГОСТ 28762. |
| Оглавление: | 1 Типы 2 Основные размеры |
| Разработан: | Министерство станкостроительной и инструментальной промышленности |
| Утверждён: | 22.04.1991 Госстандарт России (Russian Federation Gosstandart 533) |
| Издан: | Издательство стандартов (1991 г. ) ИПК Издательство стандартов (2003 г. ) ИПК Издательство стандартов (2004 г. ) |
| Нормативные ссылки: |











