Скачать ГОСТ 29034-91 Постоянные резисторы для электронной аппаратуры. Часть 5. Групповые технические условия на постоянные прецизионные резисторыДата актуализации: 01.01.2021
|
| Обозначение: | ГОСТ 29034-91 |
| Обозначение англ: | GOST 29034-91 |
| Статус: | действует |
| Название рус.: | Постоянные резисторы для электронной аппаратуры. Часть 5. Групповые технические условия на постоянные прецизионные резисторы |
| Название англ.: | Fixed resistors for use in electronic equipment. Part 5. Sectional specification : fixed precision resistors |
| Дата добавления в базу: | 01.09.2013 |
| Дата актуализации: | 01.01.2021 |
| Дата введения: | 01.07.1992 |
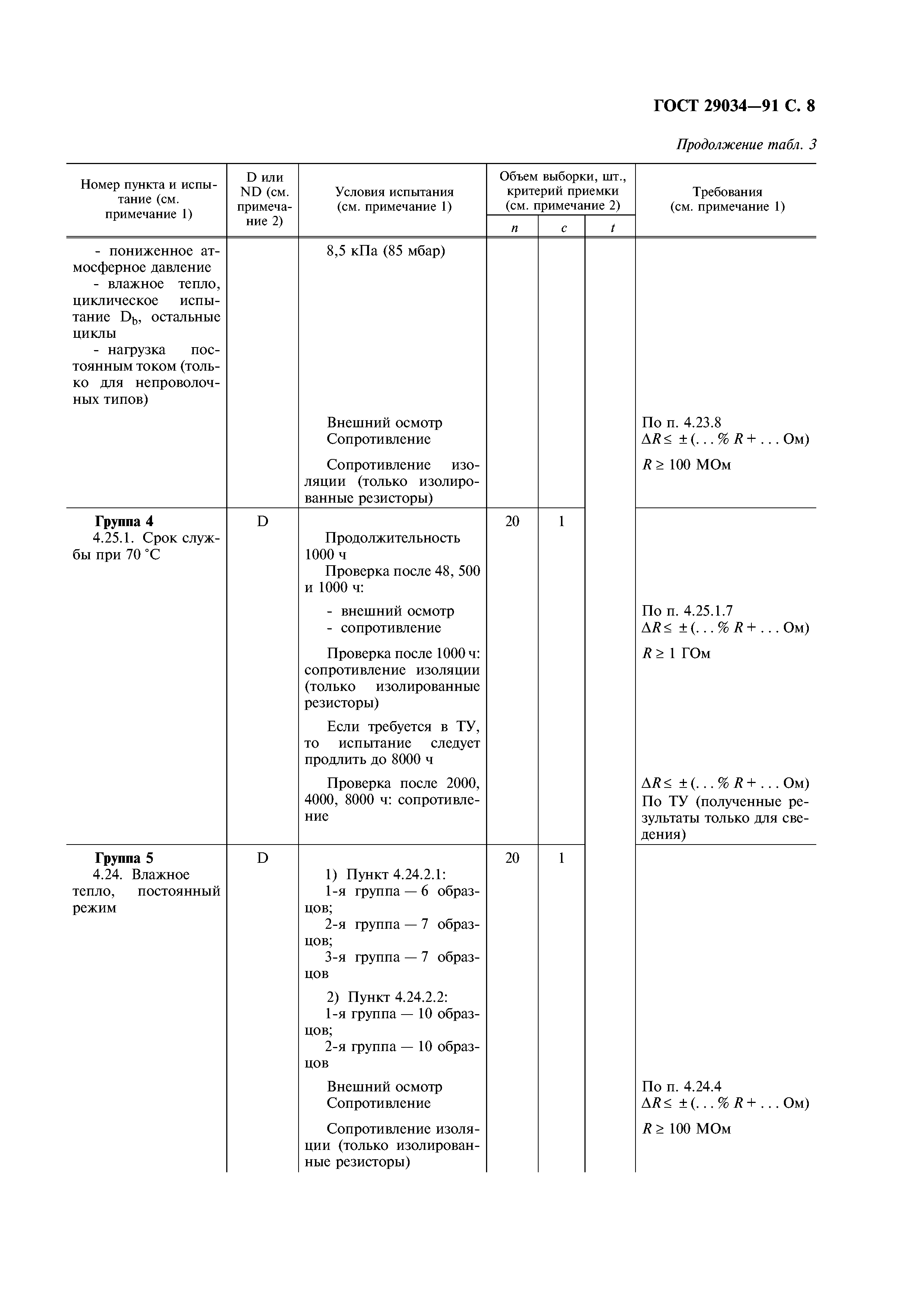
| Область применения: | Стандарт распространяется на постоянные прецизионные резисторы, предназначенные для использования в электронной аппаратуре и применяется для разработки ТУ на резисторы, в том числе подлежащие сертификации. Стандарт устанавливает предпочтительные номинальные значения и характеристики и определяет порядок выбора из ГОСТ 28608 соответствующих методик сертификации изделий, методов испытаний и измерений, а также устанавливает общие требования к резисторам данного типа. Стандарт подготовлен методом прямого применения международного стандарта МЭК 115-5-1. |
| Оглавление: | 1. Общие положения 2. Предпочтительные номинальные значения, характеристики и жесткости испытаний 3. Порядок сертификации |
| Разработан: | Министерство электронной промышленности СССР |
| Утверждён: | 18.06.1991 Госстандарт России (Russian Federation Gosstandart 888) |
| Издан: | Издательство стандартов (1992 г. ) ИПК Издательство стандартов (2004 г. ) |
| Нормативные ссылки: |











