Скачать ГОСТ 29043-91 Постоянные резисторы для электронной аппаратуры. Часть 6. Форма технических условий на наборы постоянных резисторов с отдельно измеряемыми резисторами, имеющими разные номинальные сопротивления или номинальные мощности рассеяния. Уровень качества ЕДата актуализации: 01.01.2021
|
| Обозначение: | ГОСТ 29043-91 |
| Обозначение англ: | GOST 29043-91 |
| Статус: | действует |
| Название рус.: | Постоянные резисторы для электронной аппаратуры. Часть 6. Форма технических условий на наборы постоянных резисторов с отдельно измеряемыми резисторами, имеющими разные номинальные сопротивления или номинальные мощности рассеяния. Уровень качества Е |
| Название англ.: | Fixed resistors for use in electronic equipment. Part 6. Blank detail specification: fixed resistor networks with individually measurable resistors, of either different resistance values or different rated dissipations. Assessment level E |
| Дата добавления в базу: | 01.09.2013 |
| Дата актуализации: | 01.01.2021 |
| Дата введения: | 01.07.1992 |
| Область применения: | Стандарт применяется для разработки ТУ на резисторы, в том числе подлежащие сертификации. Стандарт подготовлен методом прямого применения международного стандарта МЭК 115-6-2 "Постоянные резисторы для электронной аппаратуры. |
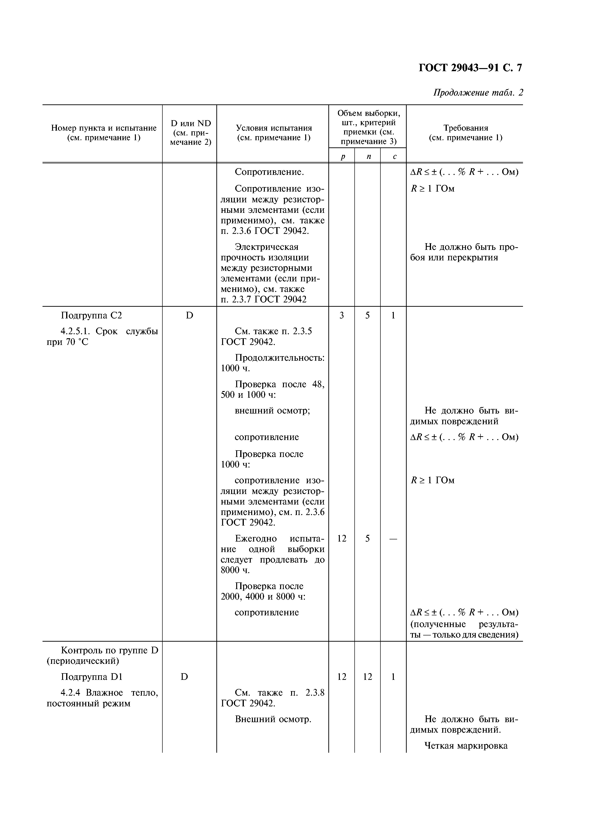
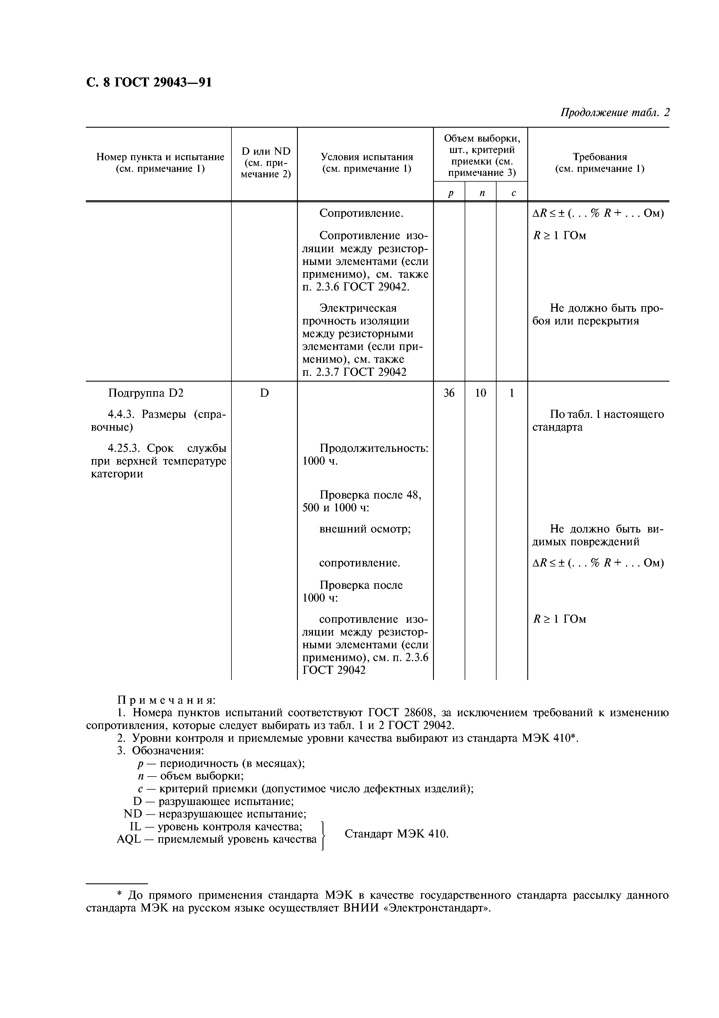
| Оглавление: | 1. Общие данные 2. Требования к контролю Приложение (обязательное) |
| Разработан: | Министерство электронной промышленности СССР |
| Утверждён: | 26.06.1991 Государственный комитет СССР по управлению качеством продукции и стандартам (USSR National Committee on Standards and Product Quality Management 1034) |
| Издан: | Издательство стандартов (1991 г. ) ИПК Издательство стандартов (2004 г. ) |
| Нормативные ссылки: |










