Скачать ГОСТ 29107-91 Приборы полупроводниковые. Микросхемы интегральные. Часть 2. Цифровые интегральные схемыДата актуализации: 01.01.2021
|
| Обозначение: | ГОСТ 29107-91 |
| Обозначение англ: | GOST 29107-91 |
| Статус: | действует |
| Название рус.: | Приборы полупроводниковые. Микросхемы интегральные. Часть 2. Цифровые интегральные схемы |
| Название англ.: | Semiconductor devices. Integrated circuits. Part 2. Digital integrated circuits |
| Дата добавления в базу: | 01.09.2013 |
| Дата актуализации: | 01.01.2021 |
| Дата введения: | 01.07.1992 |
| Область применения: | Стандарт применяется для разработки технических условий на интегральные микросхемы, в том числе подлежащие сертификации. Стандарт устанавливает требования для следующих классов и подклассов приборов: комбинаторные и последовательностные цифровые схемы; интегральные схемы запоминающих устройств; интегральные схемы микропроцессоров; приборы с переносом заряда. Стандарт подготовлен методом прямого применения международного стандарта МЭК 748-2-85 "Полупроводниковые приборы. Интегральные схемы. Часть 2. Цифровые интегральные схемы" и полностью ему соответствует. |
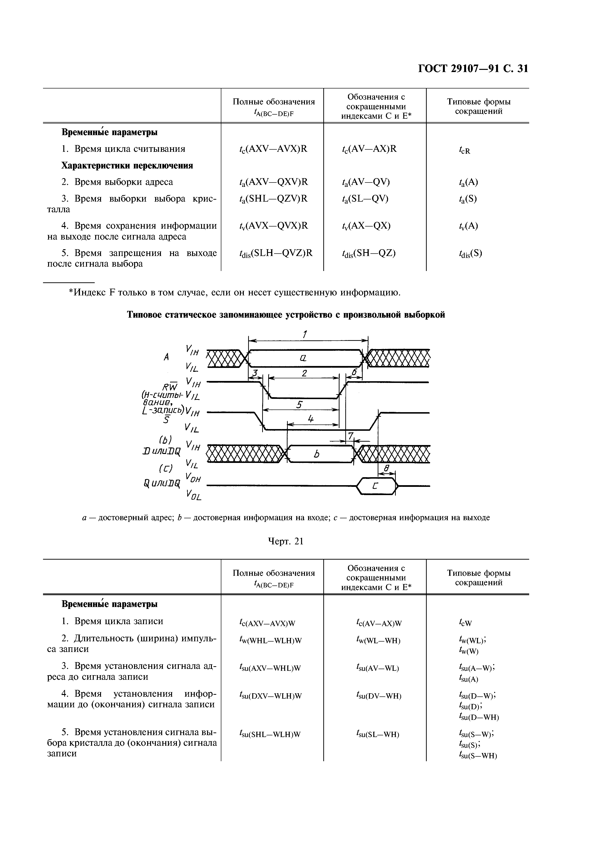
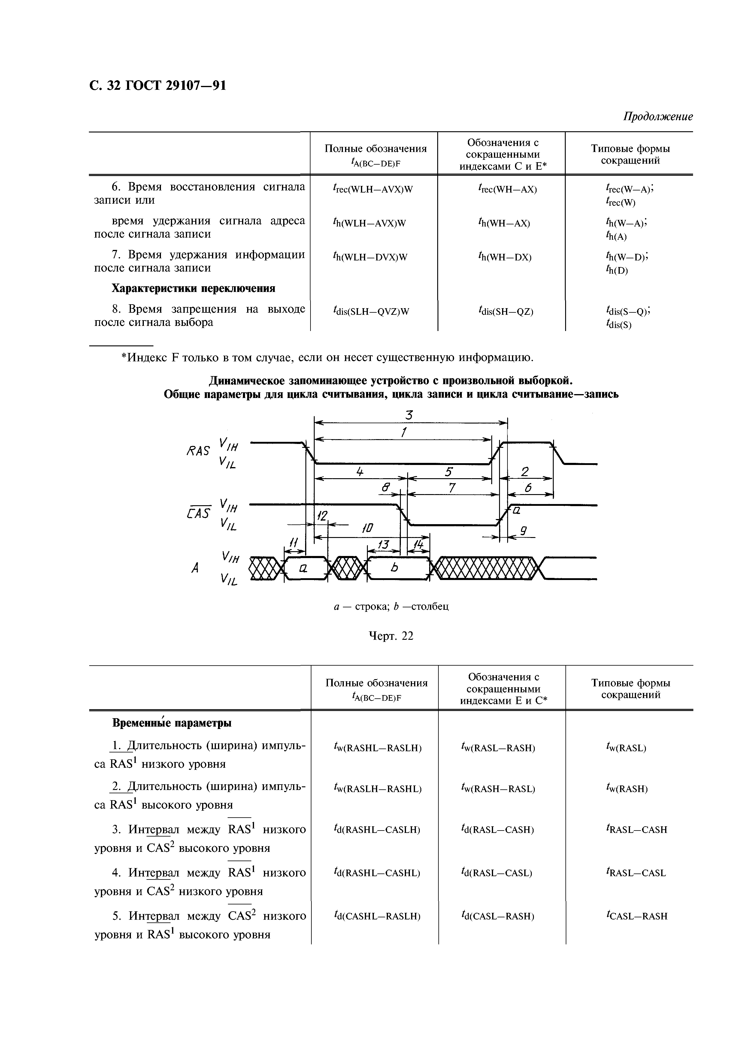
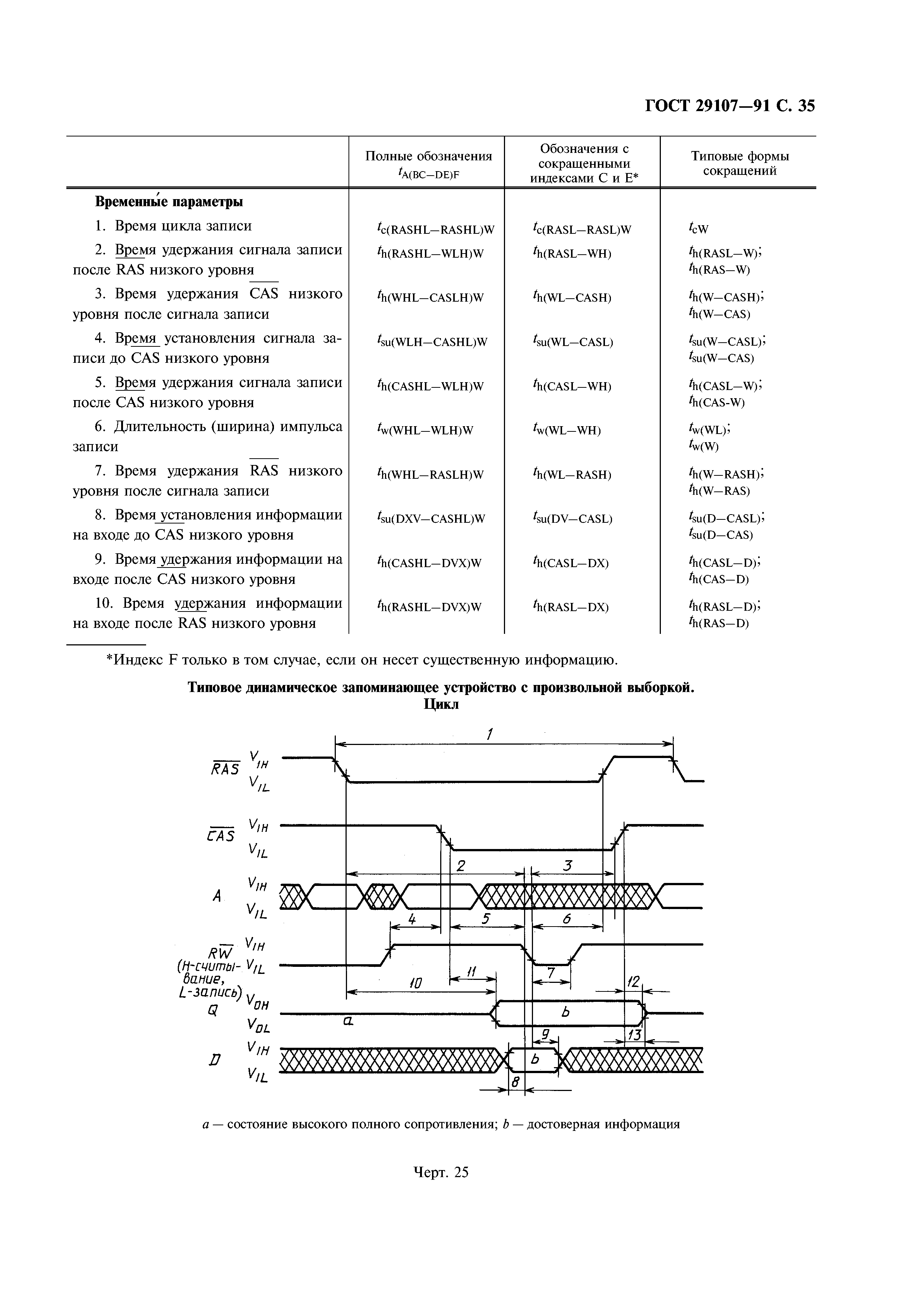
| Оглавление: | Предисловие Введение Глава I. Общие положения 1. Введение 2. Область применения Глава II. Терминология и обозначения 1. Терминология для комбинаторных и последовательностных интегральных схем 1.1. Общие термины 1.2. Термины, относящиеся к функциям схем 1.3. Типы схем 1.4. Термины, относящиеся к предельно допустимым значениям параметров и характеристикам 2. Примеры 3. Терминология для интегральных схем и запоминающих устройств (ЗУ) 3.1. Общие термины 3.2. Общие термины, относящиеся к функционированию и организации памяти 3.3. Типы запоминающих устройств 3.4. Термины, относящиеся к предельно допустимым значениям параметров и характеристикам 3.5. Типовые временные диаграммы для статического ОЗУ 4. Терминология для микропроцессорных интегральных схем 5. Терминология для приборов с переносом заряда 6. Буквенные обозначения для комбинаторных и последовательностных схем 7. Буквенные обозначения для динамических параметров последовательностных интегральных схем, в т. ч. для запоминающих устройств Глава III. Основные предельно допустимые значения параметров и характеристики Раздел I. Цифровые интегральные схемы. Общие положения 1. Обозначение и описание схемы 1.1. Обозначение и тип 1.2. Технология 1.3. Обозначение корпуса 2. Функциональное назначение 2.1. Блок-схема 2.2. Описание функции 2.3. Сложные структуры 3. Предельно допустимые значения параметров 3.1. Напряжения и токи в статическом режиме 3.2. Напряжения и токи в переходном режиме 3.3. Температура 3.4. Способность схем выдерживать короткое замыкание 4. Рекомендуемые рабочие условия (в заданном диапазоне рабочих температур) 5. Статические электрические характеристики биполярных интегральных схем 5.1. Основные характеристики напряжения цифровых сигналов 5.2. Входное фиксирующее напряжение (при необходимости) 5.3. Основные характеристики входных и выходных токов 5.4. Наиболее неблагоприятные условия 6. Статические и квазистатические электрические характеристики МОП-интегральных схем 6.1. Основные характеристики напряжения цифровых сигналов 6.2. Основные характеристики токов 7. Динамические электрические характеристики 7.1. Введение 7.2. Временные характеристики быстродействия схемы 7.3. Требования на входах для обеспечения правильной последовательности работы схемы 7.4. Входное и выходное полные сопротивления 8. Общая мощность или токи потребления 9. Общий ток потребления (в динамическом режиме) 10. Сведения об управляющих импульсах (при необходимости) 11. Сопротивление изоляции 12. Конструктивные данные, характеристики и другие данные 13. Дополнительные сведения 13.1. Нагрузочная способность по выходу 13.2. Помехоустойчивость 13.3. Межсоединения цифровых интегральных схем 14. Меры предосторожности Приложение к разделу 1. Представление характеристик Раздел II. Интегральные схемы запоминающих устройств А. Статические и динамические оперативные запоминающие устройства и постоянные запоминающие устройства 1. Обозначение и описание схемы 2. Функциональное назначение 2.1. Блок-схема 2.2. Описание функции 3. Предельно допустимые значения параметров 4. Рекомендуемые рабочие условия (в заданном диапазоне рабочих температур) 5. Статические электрические характеристики биполярных схем запоминающих устройств 6. Статические электрические характеристики МОП-схем запоминающих устройств 7. Динамические электрические характеристики 7.1. Временные характеристики быстродействия схемы 7.2. Требования на входах для обеспечения правильной последовательности работы запоминающих устройств 7.3. Входная и выходная емкости 8. Мощность или ток потребления от каждого источника питания (в статическом режиме) 9. Мощность или ток потребления от каждого источника питания (в динамическом режиме) 10. Конструктивные данные, характеристики и другие данные 11. Дополнительные сведения 11.1. Нагрузочная способность по выходу 11.2. Помехоустойчивость 11.3. Соединения однотипных схем 11.4. Тип схемы на выходе 11.5. Соединения со схемами других типов 12. Меры предосторожности В. Постоянные запоминающие устройства, программируемые пользователем 1. Обозначение и описание схемы 2. Функциональное назначение 2.1. Блок-схема 2.2. Обозначение выводов 2.3. Описание функции 3. Предельно допустимые значения параметров 4. Режим считывания 4.1. Рекомендуемые рабочие условия (в заданном диапазоне рабочих температур) 4.2. Статические электрические характеристики 4.3. Динамические электрические характеристики 4.4. Временные параметры 5. Режим программирования 5.1. Процедура программирования 5.2. Рекомендуемые режимы программирования 5.3. Временные параметры 6. Режим стирания (если применяется) 6.1. Число с электрическим стиранием информации 6.2. ЗУ со стиранием информации ультрафиолетовым излучением 7. Число циклов программирование-стирание 8. Сведения о сохранении информации 9. Мощность или ток потребления от каждого источника питания (в статическом режиме) 10. Мощность или ток потребления от каждого источника питания(в динамическом режиме) 11. Конструктивные данные, характеристики и другие данные 12. Дополнительные сведения 13. Меры предосторожности Раздел III. Микропроцессорные интегральные схемы 1. Обозначение и описание схемы 1.4. Электрическая совместимость 2. Функциональное назначение 2.1. Блок-схема 2.2. Описание функции 2.3. Набор команд 2.4. Структура команд 2.5. Входные и выходные сигналы 3. Предельно допустимые значения параметров 3.1. Предельно допустимые значения электрических параметров 3.2. Температура 3.3. Рассеиваемая мощность 4. Рекомендуемые рабочие условия (в заданном диапазоне рабочих температур) 4.1. Напряжение питания 4.2. Входы синхронизации 4.3. Входные напряжения (исключая входы синхронизации) 4.4. Выходные токи 4.5. Внешние элементы (при необходимости) 4.6. Время установления и время удержания 4.7. Временные диаграммы для управляющих последовательностей 5. Электрические характеристики 5.1. Статические характеристики 5.2. Динамические характеристики 6. Конструктивные параметры, характеристики и другие данные 7. Дополнительные данные 7.1. Нагрузочная способность по выходу 7.2. Помехоустойчивость 7.3. Данные о применении 7.4. Другие данные 8. Меры предосторожности Глава IV. Методы измерений Раздел I. Общие положения 1. Основные требования 2. Специальные требования 2.1. Общие требования к измерению статических и динамических характеристик 2.2. Заданные условия для статических характеристик 2.3. Заданные условия для динамических характеристик Таблица применения методов измерений Раздел II. Методы измерений статических характеристик 1. Выходные напряжения высокого и низкого уровней (VOH и VOL) (37) 2. Входные токи высокого и низкого уровней (IIH и IH) (38) 3. Ток короткого замыкания на выходе IOS (40) 4. Ток потребления в статическом режиме 5. Пороговые напряжения (на входе) и напряжение гистерезиса (48) Раздел III Методы измерения динамических характеристик 1. Общий ток потребления в динамическом режиме (1) 2. Мощность, потребляемая по цепи синхронизации (2) 3. Входное и выходное полные сопротивления (6), (11) 3.1. Измерение по току: входная и выходная емкости в режиме большого сигнала (6) 3.2. Измерение по напряжению (эквивалентные входная и выходная емкости, эквивалентные входное и выходное сопротивления) (11) 4. Время, характеризующее схему 4.1. Время задержки переключения (3), (7) 4.2. Время задержки и время перехода (4), (5) 4.3. Время установления (8) и время удержания (9) 4.4. Время обращения (36) 4.5. Время разрешения и время запрещения на выходе (для выходов с тремя состояниями) (49) 4.6. Временнйе параметры, характеризующие интегральные схемы запоминающих устройств (50) — (54) 5. Частота переключения последовательностной схемы (10) Глава V. Приемка и надежность Раздел I. Электрические испытания на срок службы 1. Общие требования 2. Специальные требования Таблица II Информационные данные |
| Разработан: | Министерство электронной промышленности СССР |
| Утверждён: | 27.09.1991 Государственный комитет СССР по управлению качеством продукции и стандартам (USSR National Committee on Standards and Product Quality Management 1556) |
| Издан: | Издательство стандартов (1992 г. ) ИПК Издательство стандартов (2004 г. ) |
| Нормативные ссылки: |








































































































