Скачать ГОСТ 29108-91 Приборы полупроводниковые. Микросхемы интегральные. Часть 3. Аналоговые интегральные схемыДата актуализации: 01.01.2021
|
| Обозначение: | ГОСТ 29108-91 |
| Обозначение англ: | GOST 29108-91 |
| Статус: | действует |
| Название рус.: | Приборы полупроводниковые. Микросхемы интегральные. Часть 3. Аналоговые интегральные схемы |
| Название англ.: | Semiconductor devices. Integrated circuits. Part 3. Analogue integrated circuits |
| Дата добавления в базу: | 01.09.2013 |
| Дата актуализации: | 01.01.2021 |
| Дата введения: | 01.07.1992 |
| Область применения: | Стандарт устанавливает требования для следующих подклассов аналоговых интегральных схем: - операционных усилителей ( с двумя входами и одним выходом); - усилителей низкой частоты, видоусилителей и многоканальных усилителей для дальней связи; - усилителей высокой частоты и усилителей промежуточной частоты ; - стабилизаторов напряжения и тока; - схем переключения аналоговых сигналов. Стандарт применяется для разработки технических условий на интегральные микросхемы, в том числе подлежащие сертификации. |
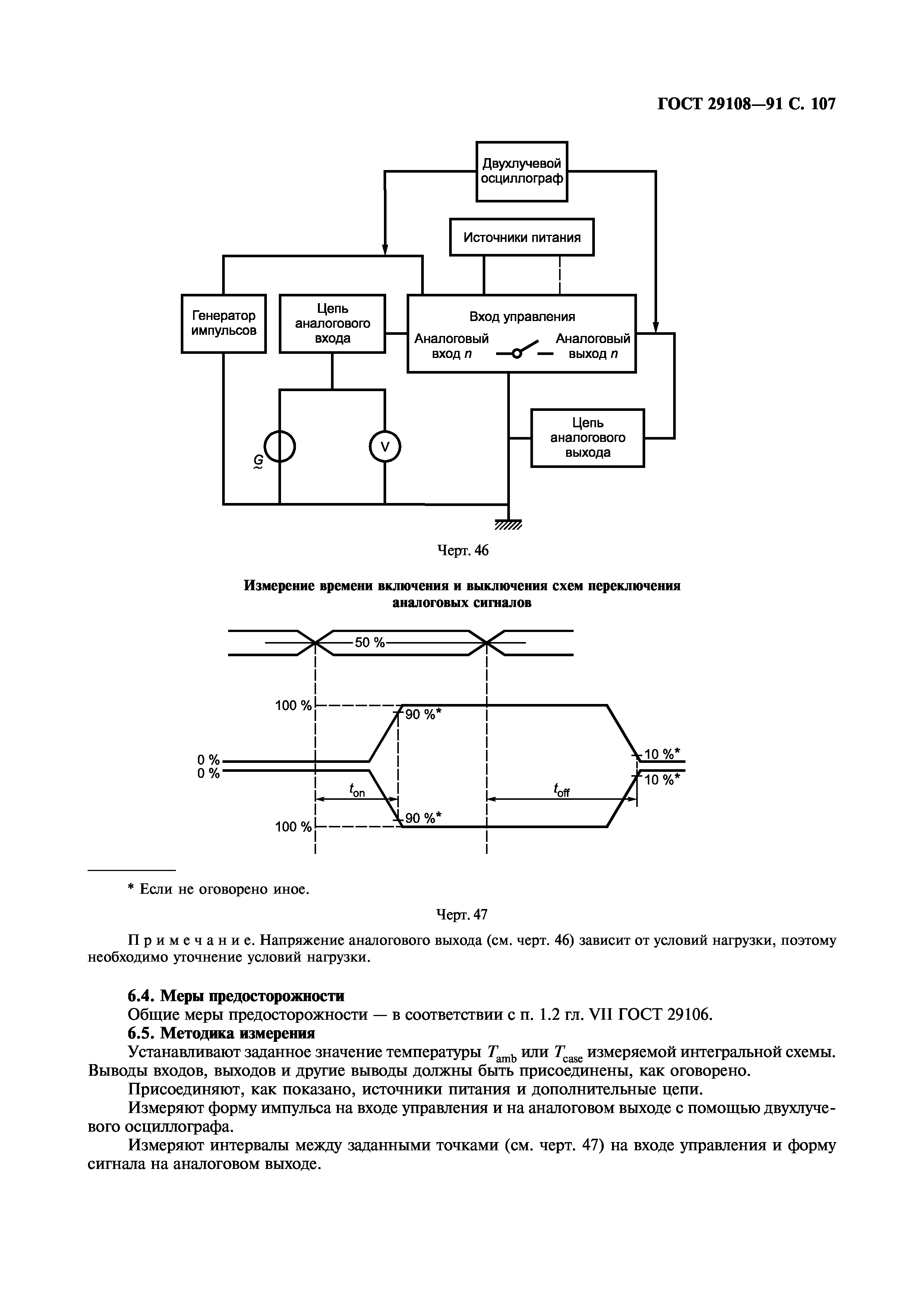
| Оглавление: | Предисловие Введение Глава I. Общие положения 1. Введение 2. Область применения Глава II. Терминология и буквенные обозначения 1. Общие термины 1.1. Стабилизатор напряжения 1.2. Стабилизатор тока 1.3. Перекрестная помеха в каналах данных 2. Термины, относящиеся к предельно допустимым значениям параметров и характеристикам 2.1. Линейные усилители 2.2. Стабилизаторы напряжения и тока 2.3. Схемы переключения аналоговых сигналов 2.4. Интегральные схемы СВЧ усилителей 3. Буквенные обозначения 3.1. Линейные усилители 3.2. Стабилизаторы напряжения и тока 3.3. Схемы переключения аналоговых сигналов 3.4. Интегральные схемы СВЧ усилителей Глава III. Основные предельно допустимые значения параметров и характеристики Раздел I. Стандартная форма представления публикуемых данных 1. Функциональное назначение 2. Описание схемы 3. Предельно допустимые значения параметров 4. Рекомендуемые рабочие условия (в заданном диапазоне рабочих температур) 5. Электрические характеристики 6. Конструктивные данные, характеристики и другие данные 7. Данные по применению Раздел II. Операционные усилители (с двумя входами и одним выходом) 1. Функциональное назначение 2. Описание схемы 3. Предельно допустимые значения параметров 4. Рекомендуемые рабочие условия (в заданном диапазоне рабочих температур) 5. Электрические характеристики 6. Конструктивные данные, характеристики и другие данные 7. Данные по применению Раздел III. Усилители низкой частоты, видеоусилители и многоканальные усилители для устройств дальней связи 1. Функциональное назначение 2. Описание схемы 3. Предельно допустимые значения параметров 4. Рекомендуемые рабочие условия (в заданном диапазоне рабочих температур) 5. Электрические характеристики 6. Конструктивные данные, характеристики и другие данные 7. Данные по применению Раздел IV. Высокочастотные усилители и усилители промежуточной частоты 1. Функциональное назначение 2. Описание схемы 3. Предельно допустимые значения параметров 4. Рекомендуемые рабочие условия (в заданном диапазоне рабочих температур) 5. Электрические характеристики 6. Конструктивные данные, характеристики и другие данные 7. Данные по применению Раздел V. Стабилизаторы напряжения и тока 1. Функциональное назначение 2. Описание схемы 3. Предельно допустимые значения параметров 4. Рекомендуемые рабочие условия (в заданном диапазоне рабочих температур) 5. Электрические характеристики 6. Конструктивные данные, характеристики и другие данные 7. Данные по применению Раздел VI. Схемы переключения аналоговых сигналов Сведения общего характера 1. Функциональное назначение 2. Описание схемы 3. Предельно допустимые значения параметров 4. Рекомендуемые рабочие условия 5. Электрические характеристики 6. Конструктивные данные, характеристики и другие данные 7. Данные по применению Раздел VII. Схемы управления импульсными источниками питания 1. Общие положения 2. Электрическая и функциональная характеристика 3. Предельно допустимые значения электрических и тепловых параметров 4. Рекомендуемые рабочие условия 5. Электрические характеристики 6. Конструктивные параметры, характеристики и другие данные 7. Меры предосторожности (при необходимости) 8. Данные по применению, дополнительная информация Раздел VIII. Схемы двухтональных многочастотных генераторов 1. Общие положения 2. Обозначение и описание схемы 3. Функциональное назначение 4. Предельно допустимые значения параметров 5. Рекомендуемые рабочие условия (в заданном диапазоне рабочих температур) 6. Электрические характеристики 7. Конструктивные характеристики и другие данные 8. Данные по применению Глава IV. Методы измерений Раздел I. Общие положения 1. Основные требования 2. Специальные требования 3. Таблица применения методов измерений Раздел II. Линейные усилители (включая операционные усилители) 1. Специальные требования 2. Токи потребления (22) 3. Входное полное сопротивление в режиме малого сигнала (23) 4. Выходное полное сопротивление (24) 5. Входное напряжение смещения нуля линейного усилителя с дифференциальными входами и напряжение смещения линейного усилителя с несимметричным входом Vio (25, 26) 6. Входной ток смещения нуля (27) 7. Входной ток смещения Iib (28) 8. Температурный коэффициент входного напряжения смещения нуля альфаvio (29) 9. Температурный коэффициент входного тока смещения нуля (30) 10. Коэффициент усиления напряжения в разомкнутой цепи обратной связи (31) 11. Частота(ы) среза fc (32) 12. Коэффициент ослабления синфазного напряжения kCMR (33) 13. Коэффициент ослабления напряжения питания (34) 14. Диапазон выходных напряжений (только измерение на постоянном токе) для дифференциальных усилителей (35) 15. Времена переходного процесса (39) 16. Диапазон синфазных входных напряжений (42) 17. Выходной ток короткого замыкания (операционного усилителя) (43) 18. Коэффициент ослабления сигнала между каналами (для многоканальных усилителей) (44) 19. Верхняя граничная частота при полном размахе выходного напряжения (45) 20. Максимальная скорость изменения выходного напряжения (максимальная скорость нарастания выходного напряжение) Svom (46) 21. Температурный коэффициент входного тока смещения (47) 22. Частота среза, частота единичного усиления (fc, f1) (55) 23. Допустимый запас по фазе и фазовый сдвиг операционных усилителей (66) Раздел III. Стабилизаторы напряжения, за исключением двухвыводных (одновходных) приборов 1. Специальные требования 2. Коэффициенты регулирования входного напряжения и стабилизации входного напряжения (12) 3. Коэффициент сглаживания пульсаций (13) 4. Коэффициент регулирования нагрузки и коэффициент стабилизации нагрузки (14) 5. Выходное напряжение шумов Vno (15) 6. Температурный коэффициент регулируемого выходного напряжения (16) 7. Резервный ток (ток покоя) (17) 8. Ток короткого замыкания (18) 9. Опорное напряжение (19) 10. Переходная характеристика при изменении входного напряжения (20) 11. Переходная характеристика при изменении тока нагрузки (21) 12. Дрейф выходного напряжения Раздел IV. Схемы переключения аналоговых сигналов 1. Сопротивление постоянному току во включенном состоянии (для униполярных схем переключения) (56) 2. Выброс управляющего напряжения (57) 3. Подавление сигнала переключающего устройства в выключенном состоянии (58) 4. Нелинейные искажения (для униполярных схем переключения) (59) 5. Коэффициент подавления сигнала между каналами (60) 6. Время включения и время выключения (только для типов с полевым эффектом) (64) 7. Токи в выключенном и во включенном состояниях (для схем переключения аналоговых сигналов) Глава V. Приемка и надежность Раздел I. Электрические испытания на срок службы 1. Общие требования 2. Специальные требования |
| Разработан: | Министерство электронной промышленности СССР |
| Утверждён: | 27.09.1991 Государственный комитет СССР по управлению качеством продукции и стандартам (USSR National Committee on Standards and Product Quality Management 1556) |
| Издан: | Издательство стандартов (1991 г. ) ИПК Издательство стандартов (2004 г. ) |
| Нормативные ссылки: |
|























































































































