Скачать ГОСТ 29174-91 Нефтепродукты и смазочные материалы. Масла минеральные смазочные для турбин (категории ISО-L-ТSА и ISО-L-ТGА). Технические требованияДата актуализации: 01.01.2021
|
| Обозначение: | ГОСТ 29174-91 |
| Обозначение англ: | GOST 29174-91 |
| Статус: | действует |
| Название рус.: | Нефтепродукты и смазочные материалы. Масла минеральные смазочные для турбин (категории ISО-L-ТSА и ISО-L-ТGА). Технические требования |
| Название англ.: | Petroleum products and lubricants. Petroleum lubricating oils for turbines (categories ISO-L-TSA and ISO-L-TGA). Specifications |
| Дата добавления в базу: | 01.09.2013 |
| Дата актуализации: | 01.01.2021 |
| Дата введения: | 01.01.1993 |
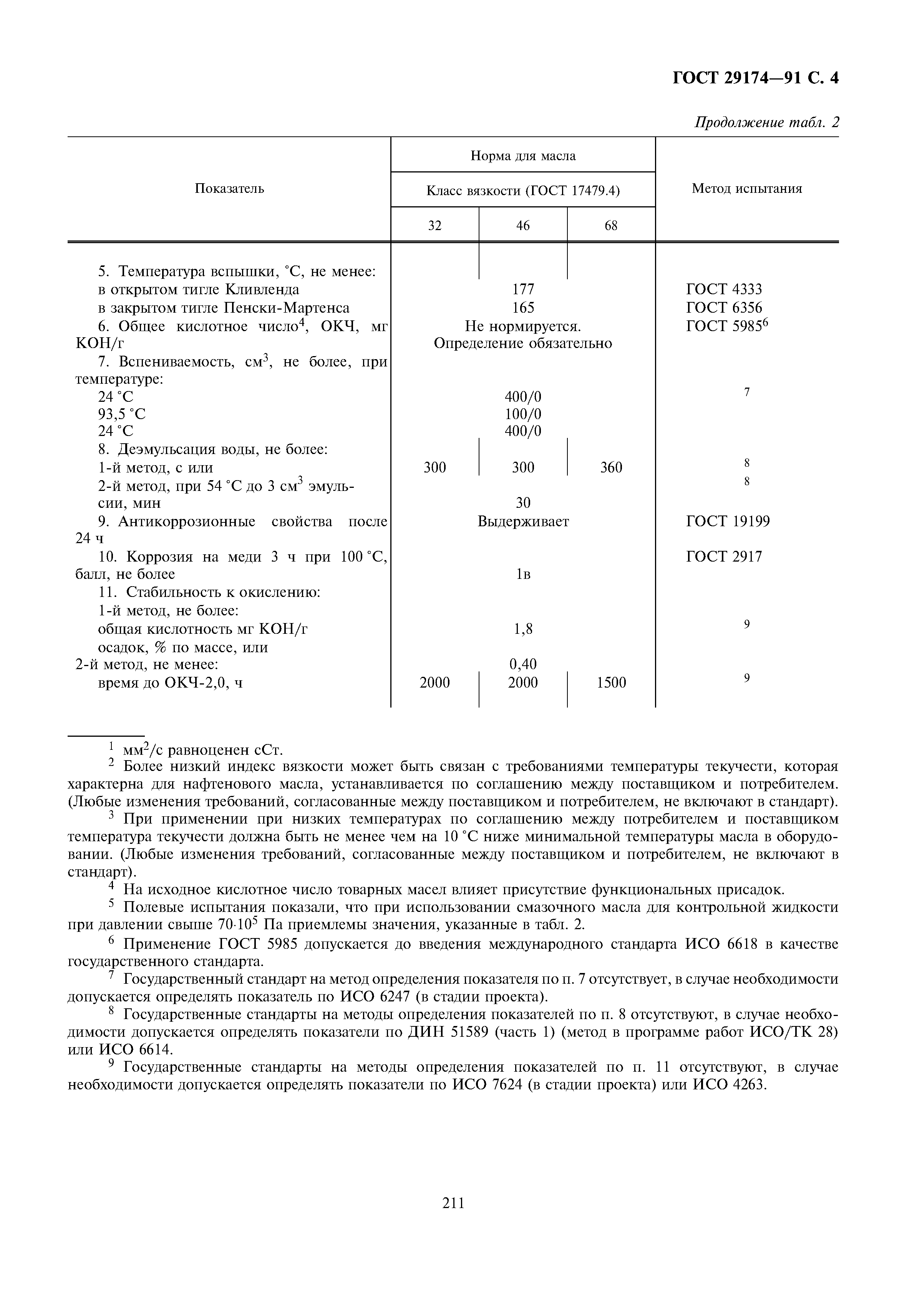
| Область применения: | Стандарт устанавливает необходимые характеристики минеральных масел, применяемых как смазочные жидкости для систем регулирования паровых турбин, для которых требуются масла категории TSA. Их можно также использовать для газовых турбин, которые используют масла категории TGA и для гидротурбин (ГОСТ 28549.6). Эти масла не применяются для смазывания высоконагруженных узлов. Определены два типа масел: AR - с требованиями воздухоотделяющей способности; В - без требований воздухоотделяющей способности. |
| Оглавление: | 1 Назначение и область применения 2 Ссылки 3 Отбор проб 4 Характеристика |
| Разработан: | ТК 31 Нефтяные топлива и смазочные материалы |
| Утверждён: | 18.12.1991 Комитет стандартизации и метрологии (1985) |
| Издан: | Издательство стандартов (1992 г. ) Издательство стандартов (1991 г. ) ИПК Издательство стандартов (2002 г. ) Стандартинформ (2011 г. ) |
| Нормативные ссылки: |
|





