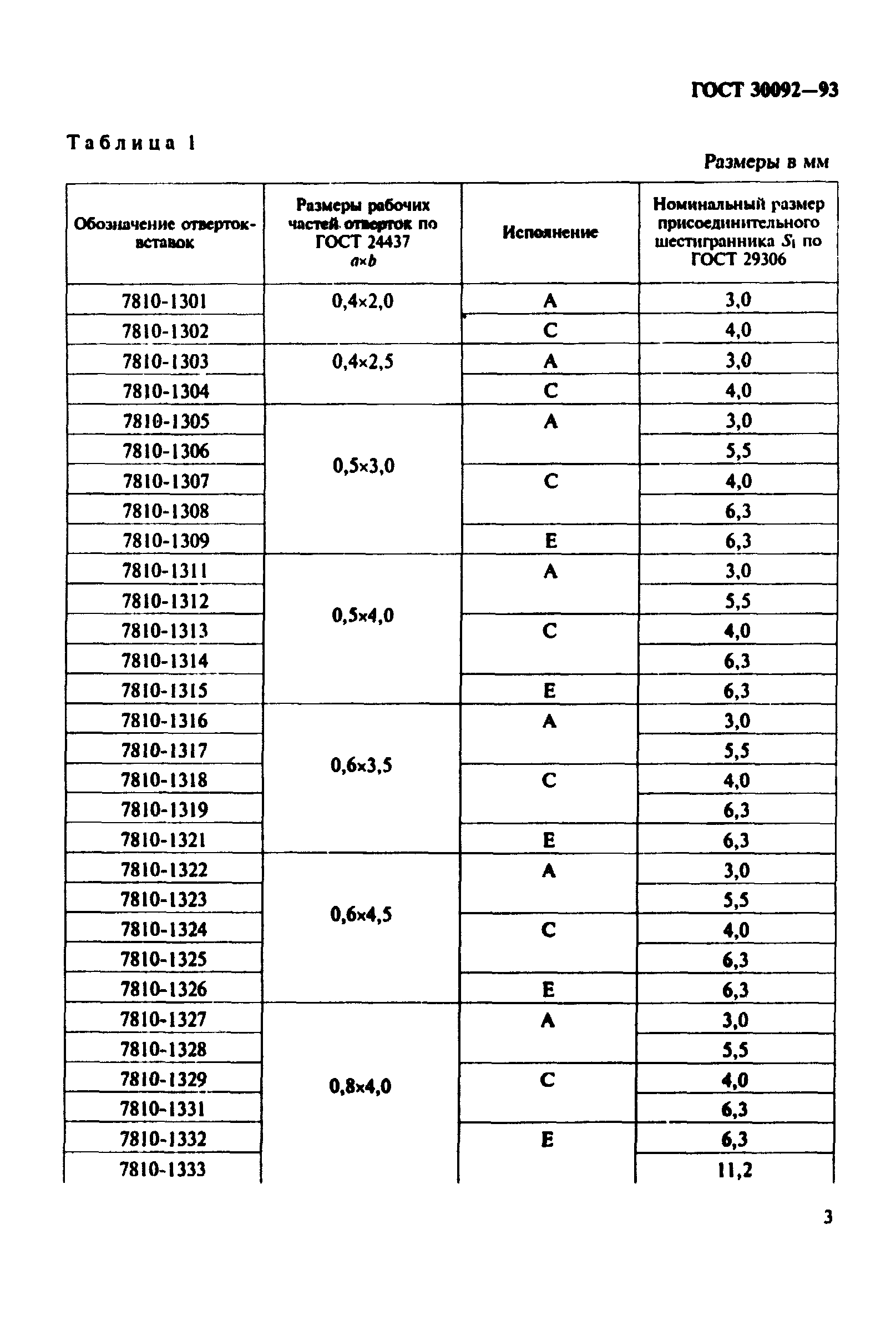
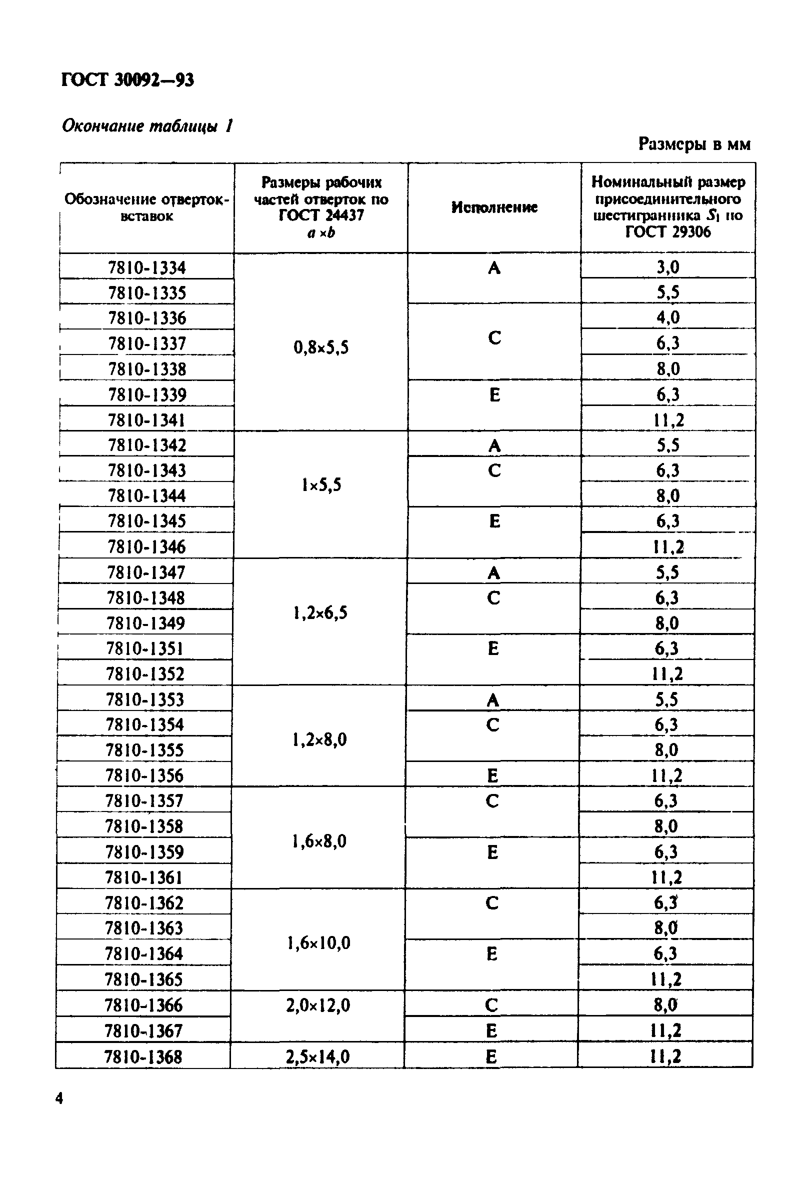
Скачать ГОСТ 30092-93 Отвертки-вставки с приводным наружным шестигранником для винтов с прямым шлицем. РазмерыДата актуализации: 01.01.2021
|
| Обозначение: | ГОСТ 30092-93 |
| Обозначение англ: | GOST 30092-93 |
| Статус: | введен впервые |
| Название рус.: | Отвертки-вставки с приводным наружным шестигранником для винтов с прямым шлицем. Размеры |
| Название англ.: | Screwdriver bits for slotted head screws with male hexagon drive. Dimensions |
| Дата добавления в базу: | 01.09.2013 |
| Дата актуализации: | 01.01.2021 |
| Дата введения: | 01.07.1996 |
| Область применения: | Стандарт распространяется на ручные и механизированные отвертки-вставки для винтов и шурупов с прямым шлицем с наружным присоединительным шестигранником. |
| Оглавление: | 1. Область применения 2. Нормативные ссылки 3. Основные размеры |
| Разработан: | Российская Федерация |
| Утверждён: | 25.01.1996 Комитет Российской Федерации по стандартизации, метрологии и сертификации (34) |
| Издан: | Издательство стандартов (1996 г. ) |
| Нормативные ссылки: |







