Скачать ГОСТ 30215-94 Стоматологические вращающиеся инструменты. Система цифрового обозначения. Часть 1. Общие характеристикиДата актуализации: 01.01.2021
|
| Обозначение: | ГОСТ 30215-94 |
| Обозначение англ: | GOST 30215-94 |
| Статус: | отменен в рф |
| Название рус.: | Стоматологические вращающиеся инструменты. Система цифрового обозначения. Часть 1. Общие характеристики |
| Название англ.: | Dental rotary instruments. Number coding system. Part 1. General requirements |
| Дата добавления в базу: | 01.09.2013 |
| Дата актуализации: | 01.01.2021 |
| Дата введения: | 01.07.1996 |
| Дата окончания срока действия: | 01.06.2013 |
| Область применения: | Стандарт разработан в связи с необходимостью использования единой системы классификации и обозначения стоматологических инструментов в торговле, промышленности и стоматологической практике. Стандарт устанавливает общую пятнадцатицифровую систему обозначения для стоматологических вращающихся инструментов. |
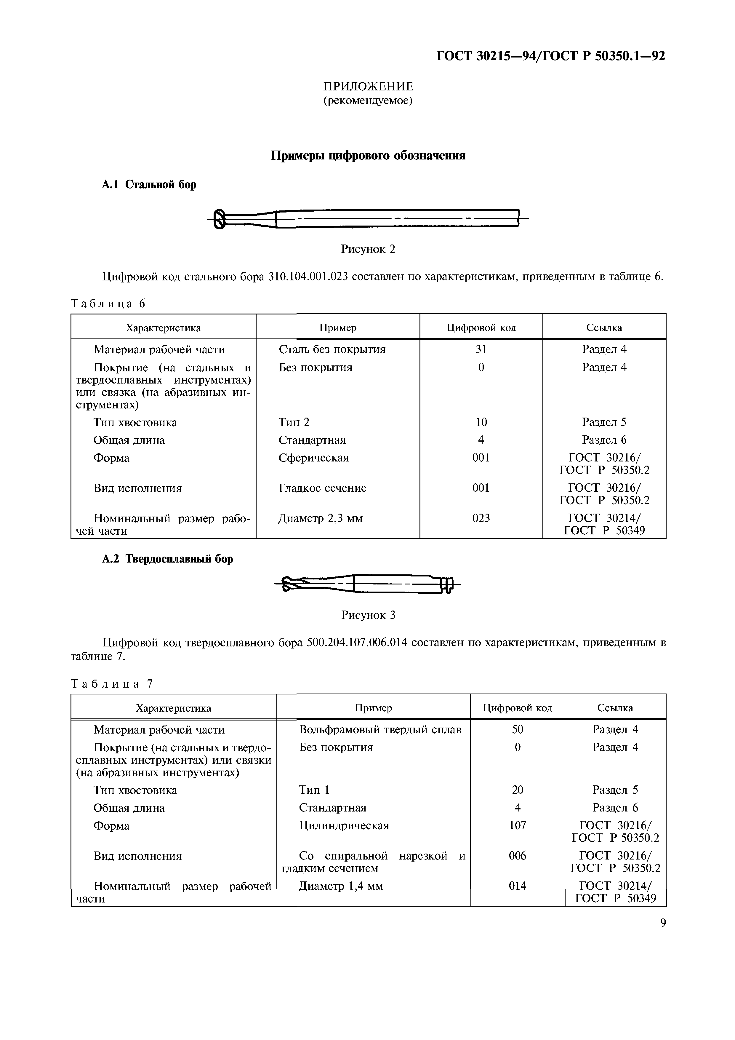
| Оглавление: | 1 Назначение и область применения 2 Ссылки 3 Цифровой код 4 Материал рабочей части и покрытия или связки 5 Тип хвостовика и рукоятки 6 Общая длина Приложение (рекомендуемое) Примеры цифрового обозначения |
| Разработан: | ТК 279 Зубоврачебное дело |
| Утверждён: | 14.10.1992 Госстандарт России (Russian Federation Gosstandart 1377) |
| Издан: | ИПК Издательство стандартов (2001 г. ) |
| Нормативные ссылки: |
|














