Скачать ГОСТ 3266-81 Метчики машинные и ручные. Конструкция и размерыДата актуализации: 01.01.2021
|
| Обозначение: | ГОСТ 3266-81 |
| Обозначение англ: | GOST 3266-81 |
| Статус: | взамен |
| Название рус.: | Метчики машинные и ручные. Конструкция и размеры |
| Название англ.: | Machine and hand taps. Design and dimensions |
| Дата добавления в базу: | 01.09.2013 |
| Дата актуализации: | 01.01.2021 |
| Дата введения: | 01.07.1982 |
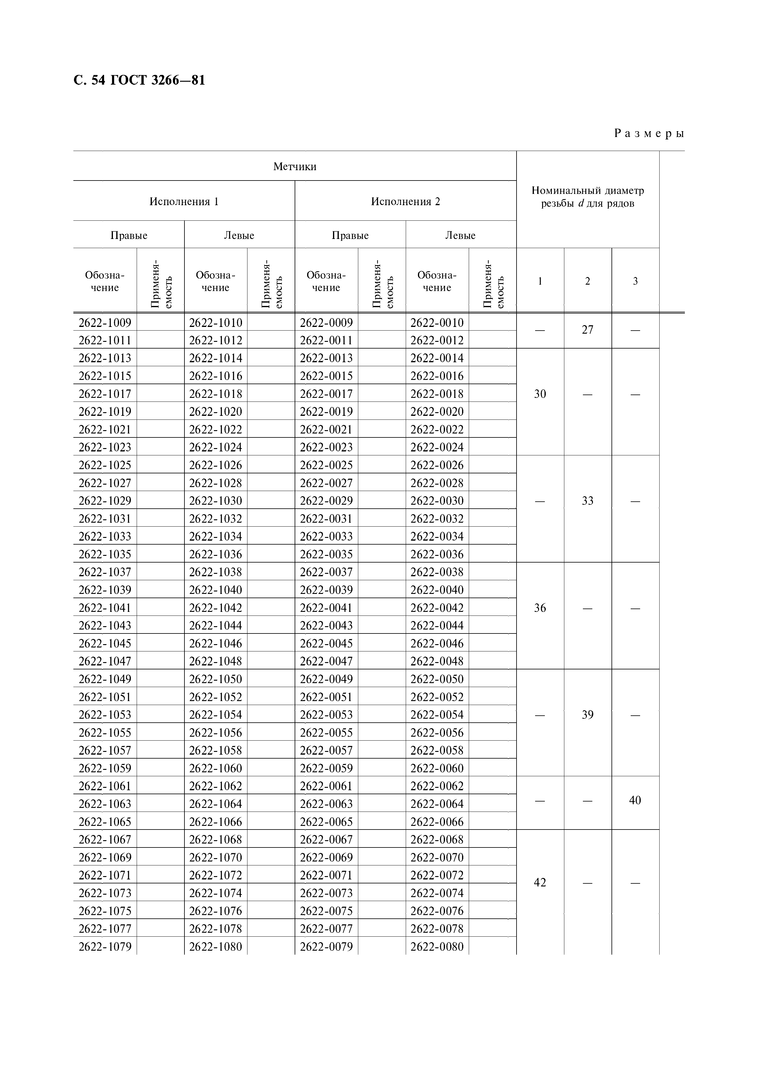
| Область применения: | Стандарт распространяется на машинные и ручные метчики для нарезания метрической резьбы по ГОСТ 24705-81, трубной резьбы по ГОСТ 6357-81 и дюймовой резьбы по ОСТ НКТП 1260. |
| Оглавление: | Приложение 1 (рекомендуемое) Профили стружечных канавок метчиков Приложение 2 (справочное) Значения передних углов машинно-ручных метчиков в зависимости от обрабатываемых материалов |
| Утверждён: | 29.01.1981 Государственный комитет СССР по стандартам (USSR National Committee on Standards 328) |
| Издан: | Издательство стандартов (1981 г. ) ИПК Издательство стандартов (2003 г. ) |
| Список изменений: |
|
| Заменяет собой: |
|
| Нормативные ссылки: |
|












































































Текстовое изменение опечатка
Текстовое изменение № 1 от 01.07.1999



Текстовое изменение Поправка от 11.04.2018
