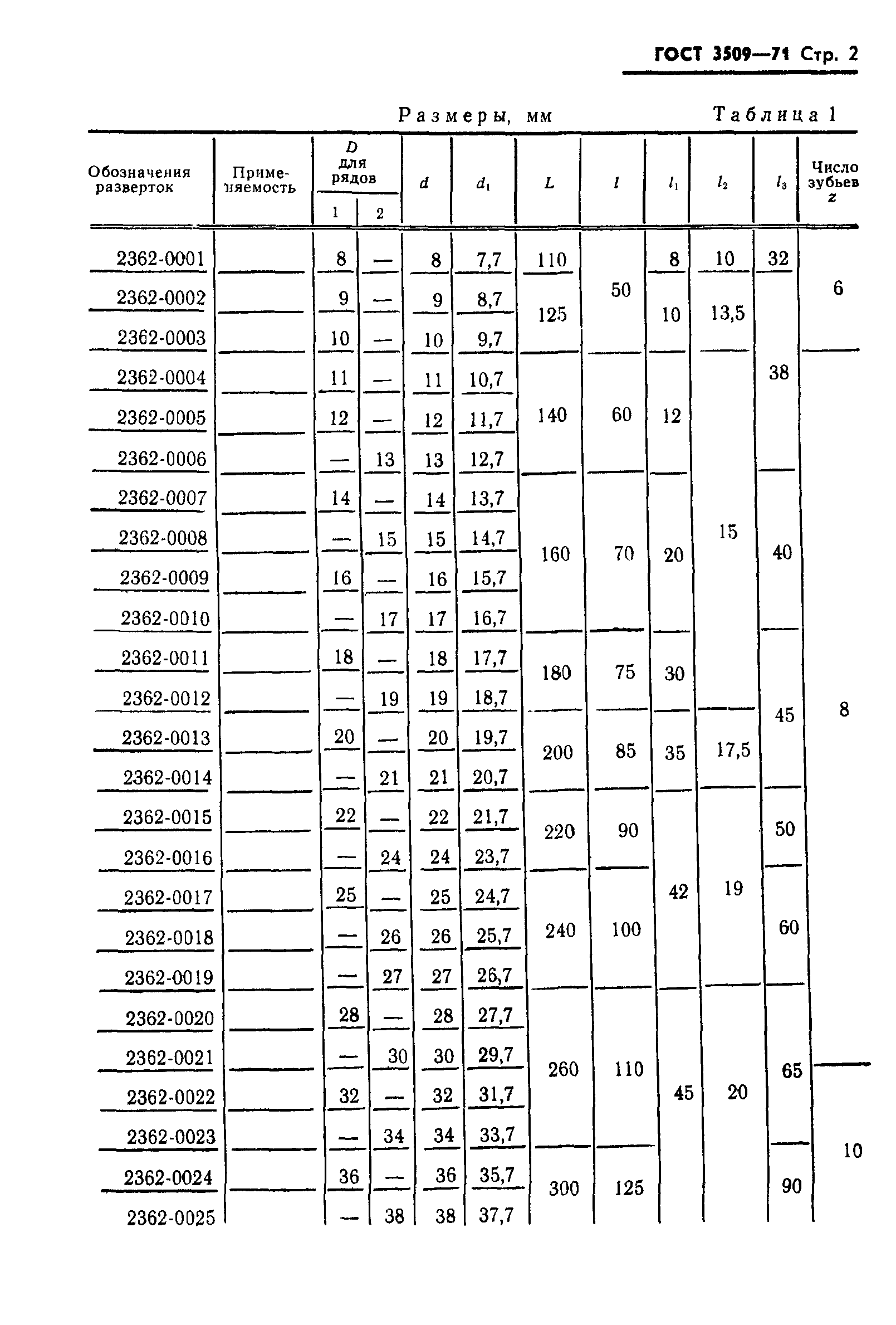
Скачать ГОСТ 3509-71 Развертки ручные разжимные. Конструкция и размерыДата актуализации: 01.01.2021
|
| Обозначение: | ГОСТ 3509-71 |
| Обозначение англ: | GOST 3509-71 |
| Статус: | действует |
| Название рус.: | Развертки ручные разжимные. Конструкция и размеры |
| Название англ.: | Adjustable hand reamers. Basic dimensions |
| Дата добавления в базу: | 01.09.2013 |
| Дата актуализации: | 01.01.2021 |
| Дата введения: | 01.07.1972 |
| Утверждён: | 03.02.1971 Госстандарт СССР (USSR Gosstandart 160) |



