Скачать ГОСТ 4086-68 Опоры регулируемые с круглой головкой для станочных приспособлений. Конструкция

Дата актуализации: 01.01.2021

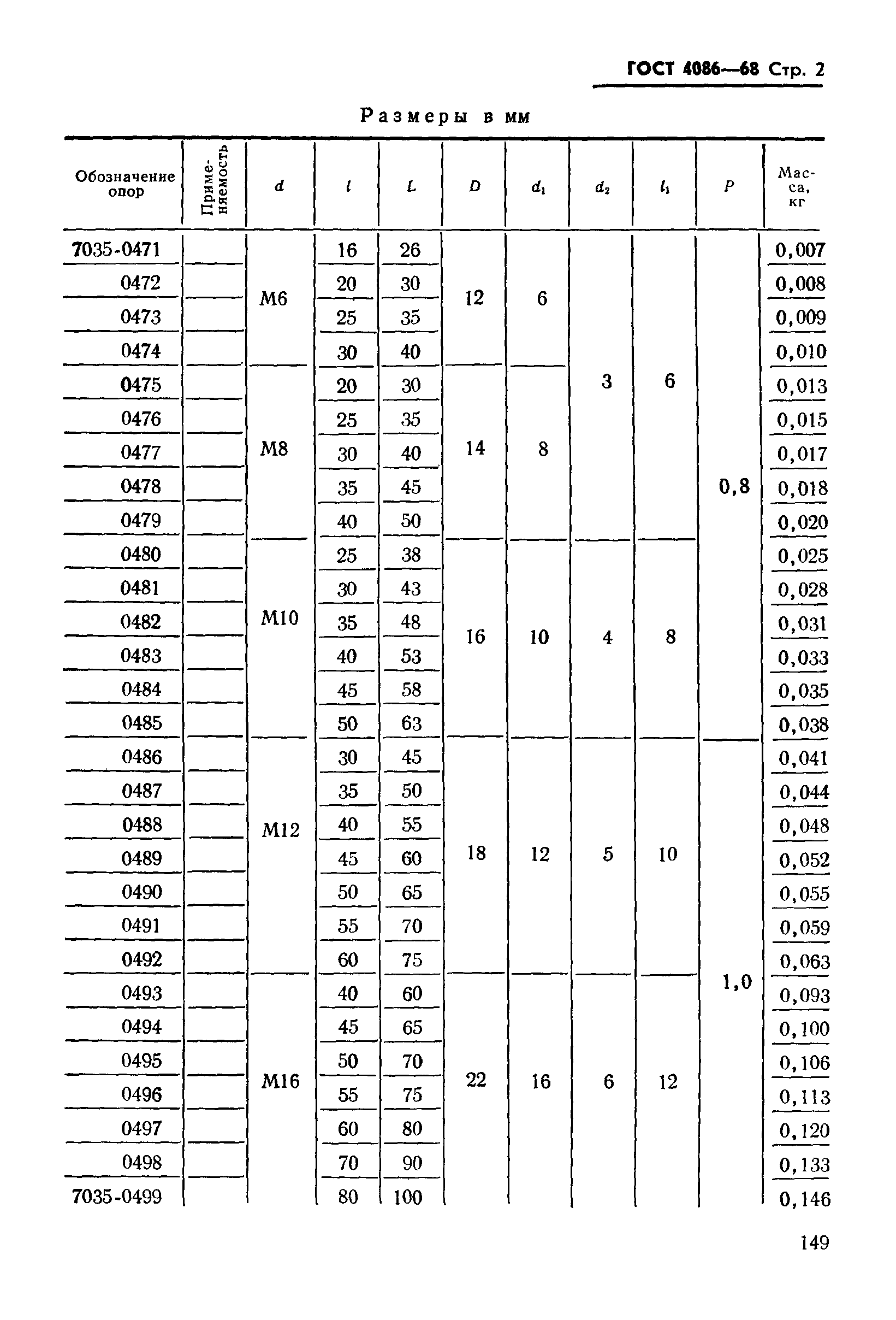
ГОСТ 4086-68

Опоры регулируемые с круглой головкой для станочных приспособлений. Конструкция

Обозначение: ГОСТ 4086-68
Обозначение англ: GOST 4086-68
Статус:взамен
Название рус.:Опоры регулируемые с круглой головкой для станочных приспособлений. Конструкция
Название англ.:Adjustable round head rests for machine retaining devices. Design and sizes
Дата добавления в базу:01.09.2013
Дата актуализации:01.01.2021
Дата введения:01.01.1969
Область применения:Стандарт устанавливает конструкцию регулируемых опор с круглой головкой для станочных приспособлений.
Оглавление:Приложение (справочное) Примеры применения регулируемых опор с круглой головкой
Утверждён:02.01.1968 Комитет стандартов, мер и измерительных приборов при Совете Министров СССР (Committee on Standards, Measures, and Measuring Instruments at the USSR Cabinet of Ministers 35)
Список изменений:
Заменяет собой:
  • ГОСТ 4086-57 «Детали станочных приспособлений. Опоры регулируемые с круглой головкой. Размеры» (Сведения из перечня "Указатель государственных стандартов СССР 1970 г.", Издательство комитета стандартов 1970)
Нормативные ссылки:
ГОСТ 4086-68ГОСТ 4086-68ГОСТ 4086-68ГОСТ 4086-68ГОСТ 4086-68ГОСТ 4086-68

Текстовое изменение № 2 от 01.01.1990

№ 2№ 2