Скачать ГОСТ 6528-53 Калибры для шлицевых валов и отверстий с эвольвентным профилем. ДопускиДата актуализации: 01.01.2021
|
| Обозначение: | ГОСТ 6528-53 |
| Обозначение англ: | GOST 6528-53 |
| Статус: | введен впервые |
| Название рус.: | Калибры для шлицевых валов и отверстий с эвольвентным профилем. Допуски |
| Название англ.: | Gauges for splined shaft and holes with evolute profile. Tolerances |
| Дата добавления в базу: | 01.09.2013 |
| Дата актуализации: | 01.01.2021 |
| Дата введения: | 01.07.1953 |
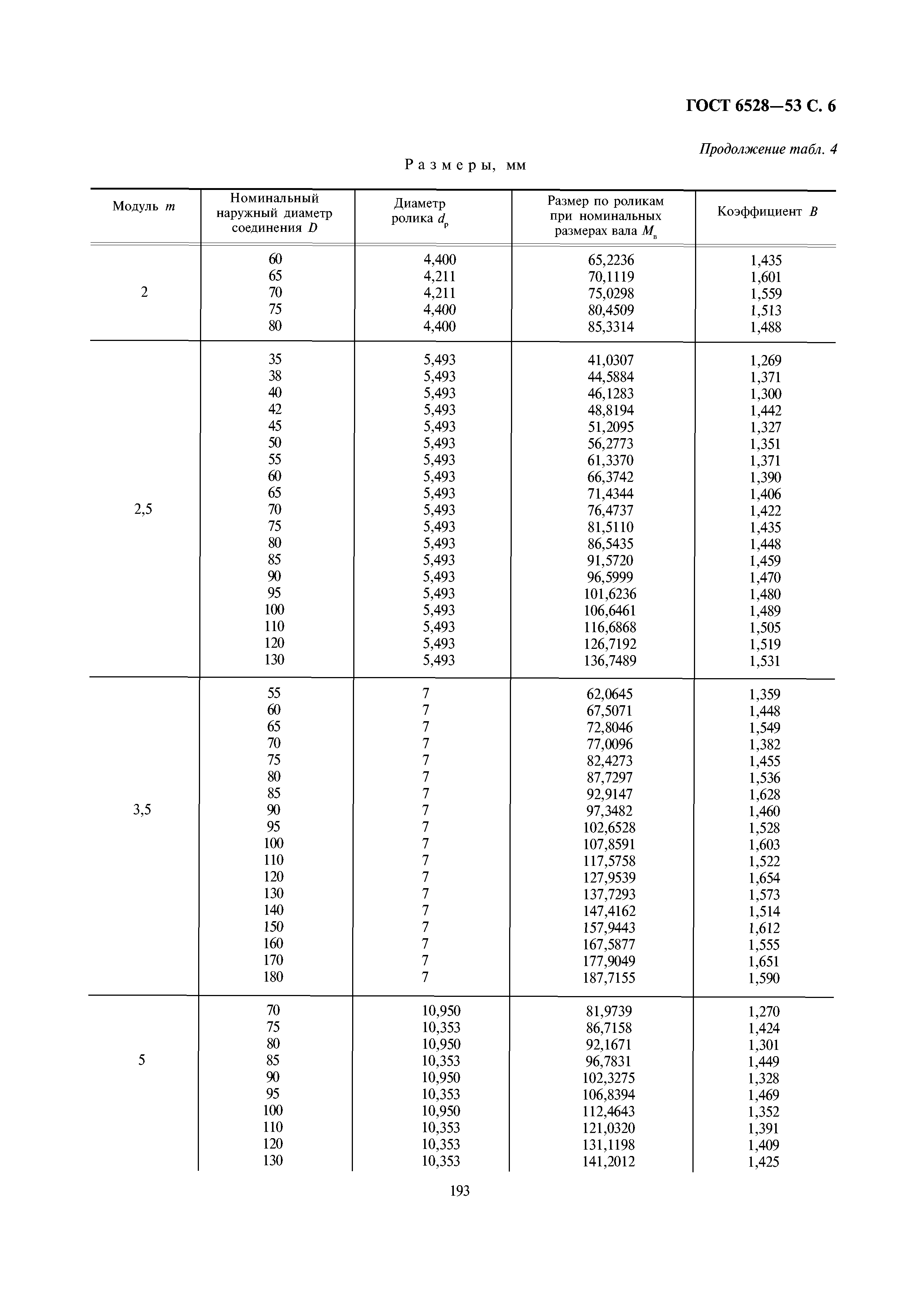
| Область применения: | Стандарт распространяется на калибры для окнтроля валов и отверстий шлицевых соединений с номинальным наружным диаметром до 150 мм и с модулем до 5 мм, а также на измерительные ролики для контроля толщины зубьев валов и ширины впадин отверстий всех размеров по ГОСТ 6033-51. |
| Оглавление: | Комплексные калибры-пробки Комплексные калибры-кольца Контроль толщины зубьев и ширины впадин с помощью измерительных роликов Калибр для контроля толщины зубьев и ширины впадин |
| Разработан: | Министерство станкостроения |
| Утверждён: | 11.03.1953 Управление по стандартизации при Совете Министров Союза ССР (Administration for Standarization at the USSR Cabinet of Ministers 211) |
| Издан: | Издательство стандартов (1987 г. ) ИПК Издательство стандартов (2003 г. ) |
| Список изменений: |
|
| Нормативные ссылки: |











Текстовое изменение Поправка